Waste
treatment plant
Incineration Technology
Hospital waste incinerators
Emissions Tests on Medical Waste Incinerators
mobile animal carcass incinerator
incinerator specifically designed
Information from Internet, Just as the industry knowledge, for
readers, no commercial use. The copyright belongs to the
original owner. We will delete if not agree.
The
Health Effects of Waste Incinerators
4th Report
of the British Society for Ecological Medicine
Second EditionJune
2008
Moderators: Dr Jeremy Thompson and Dr Honor Anthony
Preface to Second Edition
Since the publication of this report, important new data has
been published strengthening the evidence that fine particulate
pollution plays an important role in both cardiovascular and
cerebrovascular mortality (see section 3.1) and demonstrating
that the danger is greater than previously realised. More data
has also been released on the dangers to health of ultrafine
particulates and about the risks of other pollutants released
from incinerators (see section 3.4). With each publication the
hazards of incineration are becoming more obvious and more
difficult to ignore.
In the light of this data and the discussion provoked by our
report, we have extended several sections. In particular, the
section on alternative waste technologies (section 8) has been
extensively revised and enlarged, as has that on the costs of
incineration (section 9), the problems of ash (9.4),
radioactivity (section 9.5), and the sections on monitoring
(section 11), and risk assessment (section 12).
We also highlight recent research which has demonstrated the
very high releases of dioxin that arise during start-up and
shut-down of incinerators (section 11). This is especially
worrying as most assumptions about the safety of modern
incinerators are based only on emissions which occur during
standard operating conditions. Of equal concern is the
likelihood that these dangerously high emissions will not be
detected by present monitoring systems for dioxins.
Foreword
to the 1st
Edition
from Professor C. V. Howard. MB. ChB. PhD. FRCPath.
The
authors are to be congratulated on producing this report. The
reader will soon understand that to come to a comprehensive
understanding of the health problems associated with
incineration it is essential to become acquainted with a large
number of different disciplines ranging from aerosol physics to
endocrine disruption to long range transport of pollutants. In
most medical schools, to this day, virtually nothing is
routinely taught to equip the medical graduate to approach these
problems. This has to change. We need the medical profession to
be educated to health consequences associated with current
environmental degredation.
There
are no certainties in pinning specific health effects on
incineration: the report makes that clear. However this is
largely because of the complexity of exposure of the human race
to many influences. The fact that 'proof' of cause and effect
are hard to come by is the main defence used by those who prefer
the status quo. However the weight of evidence, collected
within this report, is sufficient in the authors' opinion to
call for the phasing out of incineration as a way of dealing
with our waste. I agree with that.
There
is also the question of sustainability. Waste destroyed in an
incinerator will be replaced. That involves new raw materials,
manufacture, transport, packaging etc etc. In contrast,
reduction, reuse and recycling represent a win-win strategy. It
has been shown in a number of different cities that high levels
of diversion of waste (>60%) can be achieved relatively quickly.
When that happens, there is not very much left to burn, but a
number of the products left will be problematic, for example
PVC. Incineration, an end of pipe approach, sends the message
'No problem, we have a solution for disposal of your product,
carry on business as usual¡¯. What should happen is a 'front end
solution'. Society should be able to say 'Your product is
unsustainable and a health hazard ©¤ stop making it¡±.
Incineration destroys accountability and this encourages
industries to go on making products that lead to problematic
toxic wastes. Once the waste has been reduced to ash who can say
who made what? The past 150 years has seen a progressive
'toxification' of the waste stream with heavy metals,
radionuclides and synthetic halogenated organic molecules. It is
time to start reversing that trend. We won't achieve that while
we continue to incinerate waste.
Vyvyan
Howard December 2005
Professor
of Bioimaging, Centre for Molecular Biosciences,University of
Ulster, Cromore Road, Coleraine, Co. Londonderry BT52 1SA
Contents
Executive Summary
1
Introduction
2. Emissions from Incinerators and other Combustion Sources
2.1 Particulates
2.2 Heavy metals
2.3 Nitrogen oxides
2.4 Organic
pollutants
3. Health Effects of Pollutants
3.1 Particulates
3.2 Heavy metals
3.3 Nitrogen oxides
and Ozone
3.4 Organic
toxicants
3.5 Effects on
genetic material
3.6 Effects on the
immune system
3.7 Synergistic
effects
4. Increased Morbidity and Mortality near Incinerators
4.1 Cancer
4.2 Birth defects
4.3 Ischemic heart
disease
4.4 Comment
5. Disease Incidence and Pollution
5.1 Cancer
5.2 Neurological
disease
5.3 Mental diseases
5.4 Violence and
crime
6. High Risk Groups
6.1 The foetus
6.2 The breast-fed
infant
6.3 Children
6.4 The chemically
sensitive
7. Past Mistakes and the Precautionary Principle
7.1 The
Precautionary Principle
7.2 Learning from
past mistakes
8. Alternative Waste Technologies
8.1 Re-cycling,
Re-use and Composting
8.2 Producing Less
Waste
8.3 Zero Waste
8.4 The Problem of
Plastics
8.5 Anaerobic
Digestion of Organic Matter
8.6 Mechanical
Biological Treatment (MBT)
8.7 Advanced
Thermal Technologies (ATT) and Plasma Gasification
8.8 Greenhouse
Gases
9. The Costs of Incineration
9.1 The Costs of
Incineration
9.2 Health Costs of
Incineration
9.3 Financial Gains
from Reducing Pollution
9.4 Other Studies
of the Health Costs of Pollution
10. Other Considerations of Importance
10.1 The Problem of
Ash
10.2 Incinerators
and Radioactivity
10.3 Spread of
Pollutants
10.4 Cement Kilns
2
Monitoring
3
Risk Assessment
4
Public Rights and International Treaties
5
Conclusions
6
Recommendations References
Executive Summary
Large studies have
shown higher rates of adult and childhood cancer and also birth
defects around municipal waste incinerators: the results are
consistent with the associations being causal. A number of
smaller epidemiological studies support this interpretation and
suggest that the range of illnesses produced by incinerators may
be much wider.
Incinerator
emissions are a major source of fine particulates, of toxic
metals and of more than 200 organic chemicals, including known
carcinogens, mutagens, and hormone disrupters. Emissions also
contain other unidentified compounds whose potential for harm is
as yet unknown, as was once the case with dioxins. Since the
nature of waste is continually changing, so is the chemical
nature of the incinerator emissions and therefore the potential
for adverse health effects.
Present safety
measures are designed to avoid acute toxic effects in the
immediate neighbourhood, but ignore the fact that many of the
pollutants bioaccumulate, enter the food chain and can cause
chronic illnesses over time and over a much wider geographical
area. No official attempts have been made to assess the effects
of emissions on long-term health.
Incinerators produce
bottom and fly ash which amount to 30-50% by volume of the
original waste (if compacted), and require transportation to
landfill sites. Abatement equipment in modern incinerators
merely transfers the toxic load, notably that of dioxins and
heavy metals, from airborne emissions to the fly ash. This fly
ash is light, readily windborne and mostly of low particle size.
It represents a considerable and poorly understood health
hazard.
Two large cohort
studies in America have shown that fine (PM2.5)
particulate air pollution causes increases in all-cause
mortality, cardiovascular mortality and mortality from lung
cancer, after adjustment for other factors. A more recent,
well-designed study of morbidity and mortality in postmenopausal
women has confirmed this, showing a 76% increase in
cardiovascular and 83% increase in cerebrovascular mortality in
women exposed to higher levels of fine particulates. These fine
particulates are primarily produced by combustion processes and
are emitted in large quantities by incinerators.
Higher levels of
fine particulates have been associated with an increased
prevalence of asthma and COPD.
Fine particulates
formed in incinerators in the presence of toxic metals and
organic toxins (including those known to be carcinogens), adsorb
these pollutants and carry them into the blood stream and into
the cells of the body.
Toxic metals
accumulate in the body and have been implicated in a range of
emotional and behavioural problems in children including autism,
dyslexia, attention deficit and hyperactivity disorder (ADHD),
learning difficulties, and delinquency, and in problems in
adults including violence, dementia, depression and Parkinson¡¯s
disease. Increased rates of autism and learning disabilities
have been noted to occur around sites that release mercury into
the environment. Toxic metals are universally present in
incinerator emissions and present in high concentrations in the
fly ash.
•
Susceptibility to chemical pollutants varies, depending on
genetic and acquired factors, with the maximum impact being on
the foetus. Acute
exposure can lead to
sensitisation of some individuals, leaving them with life-long
low dose chemical sensitivity.
Few chemical
combinations have been tested for toxicity, even though
synergistic effects have been demonstrated in the majority of
cases when this testing has been done. This synergy could
greatly increase the toxicity of the pollutants emitted, but
this danger has not been assessed.
Both cancer and
asthma have increased relentlessly along with industrialisation,
and cancer rates have been shown to correlate geographically
with both toxic waste treatment facilities and the presence of
chemical industries, pointing to an urgent need to reduce our
exposure.
In
the UK, some incinerators burn radioactive material producing
radioactive particulates. Inhalation allows entry into the body
of this radioactive material which can subsequently emit alpha
or beta radiation. These types of radiation have low danger
outside the body but are highly destructive within. No studies
have been done to assess the danger to health of these
radioactive emissions.
Some
chemical pollutants such as polyaromatic hydrocarbons (PAHs) and
heavy metals are known to cause genetic changes. This represents
not only a risk to present generations but to future
generations.
Monitoring of incinerators has been unsatisfactory in the lack
of rigor, the infrequency of monitoring, the small number of
compounds measured, the levels deemed acceptable, and the
absence of biological monitoring. Approval of new installations
has depended on modelling data, supposed to be scientific
measures of safety, even though the method used has no more than
a 30% accuracy of predicting pollutants levels correctly and
ignores the important problems of secondary particulates and
chemical interactions.
It
has been claimed that modern abatement procedures render the
emissions from incinerators safe, but this is impossible to
establish and would apply only to emissions generated under
standard operating conditions. Of much more concern are
non-standard operating conditions including start-up and
shut-down when large volumes of pollutants are released within a
short period of time. Two of the most hazardous emissions ¨C fine
particulates and heavy metals ¨C are relatively resistant to
removal.
The
safety of new incinerator installations cannot be established in
advance and, although rigorous independent health monitoring
might give rise to suspicions of adverse effects on the foetus
and infant within a few years, this type of monitoring has not
been put in place, and in the short term would not reach
statistical significance for individual installations. Other
effects, such as adult cancers, could be delayed for at least
ten to twenty years. It would therefore be appropriate to apply
the precautionary principle here.
There are now alternative methods of dealing with waste which
would avoid the main health hazards of incineration, would
produce more energy and would be far cheaper in real terms, if
the health costs were taken into account.
• Incinerators presently contravene basic human rights as
stated by the United Nations Commission on Human Rights, in
particular the Right to Life under the European Human Rights
Convention, but also the Stockholm Convention and the
Environmental Protection Act of 1990. The foetus, infant and
child are most at risk from incinerator emissions: their rights
are therefore being ignored and violated, which is not in
keeping with the concept of a just
society. Nor is the present policy of locating incinerators in
deprived areas where their health effects will be maximal: this
needs urgent review.
Reviewing the literature for the second edition has confirmed
our earlier conclusions. Recent research, including that
relating to fine and ultrafine particulates, the costs of
incineration, together with research investigating non-standard
emissions from incinerators, has demonstrated that the hazards
of incineration are greater than previously realised. The
accumulated evidence on the health risks of incinerators is
simply too strong to ignore and their use cannot be justified
now that better, cheaper and far less hazardous methods of waste
disposal have become available. We therefore conclude that no
more incinerators should be approved.
1.
Introduction
Both the amount of waste
and its potential toxicity are increasing. Available landfill
sites are being used up and incineration is being seen
increasingly as a solution to the waste problem. This report
examines the literature concerning the health effects of
incinerators.
Incinerators produce
pollution in two ways. Firstly, they discharge hundreds of
pollutants into the atmosphere. Although some attention has been
paid to the concentrations of the major chemicals emitted
in an effort to avoid acute local toxic effects, this is only
part of the problem. Many of these chemicals are both toxic and
bio-accumulative, building up over time in the body in an
insidious fashion with the risk of chronic effects at much lower
exposures. Little is known about the risks of many of these
pollutants, particularly when combined. In addition,
incinerators convert some of the waste into ash and some of this
ash will contain high concentrations of toxic substances such as
dioxins and heavy metals, creating a major pollution problem for
future generations. Pollutants from landfill have already been
shown to seep down and pollute water sources. It is also
important to note that incineration does not solve the landfill
problem because of the large volumes of the ash that are
produced.
There have been
relatively few studies of populations exposed to incinerator
emissions or of occupational exposure to incinerators (see
section 4), but most show higher-than-expected levels of cancer
and birth defects in the local population and increased
ischaemic heart disease has been reported in incinerator
workers. These findings are disturbing but, taken alone, they
might only serve to alert the scientific community to possible
dangers but for two facts. The first is the acknowledged
difficulty of establishing beyond question the chronic effects
associated with any sort of environmental exposure. The second
is the volume of evidence linking health effects with exposure
to the individual combustion products known to be discharged by
incinerators and other combustion processes.
The purpose of this
report is to look at all the evidence and come to a balanced
view about the future dangers that would be associated with the
next generation of waste incinerators. There are good reasons
for undertaking this review. The history of science shows that
it often takes decades to identify the health effects of toxic
exposures but, with hindsight, early warning signs were often
present which had gone unheeded. It is rare for the effects of
environmental exposures to have been anticipated in advance. For
instance it was not anticipated that the older generation of
incinerators in the UK would prove to be a major source of
contamination of the food supply with dioxins. In assessing the
evidence we shall also look at data from a number of other areas
which we believe to be relevant, including research on the
increased vulnerability of the foetus to toxic exposures, and
the risk of synergistic effects between chemicals, the higher
risks to people more sensitive to chemical pollution, the
difficulties of hazard assessment, the problems of monitoring
and the health costs of incineration.
2.
Emissions from Incinerators and other Combustion Sources
The exact composition of
emissions from incinerators will vary with what waste is being
burnt at any given time, the efficiency of the installation and
the pollution control measures in place. A municipal waste
incinerator will take in a great variety of waste contaminated
by heavy metals and by man-made organic chemicals. During
incineration more toxic forms of some of these substances can be
created. The three most important constituents of the emissions,
in terms of health effects, are particulates, heavy metals and
combustion products of man-made chemicals; the latter two can be
adsorbed onto the smaller particulates making them especially
hazardous. The wide range of chemicals known to be products of
combustion include sulphur dioxide, oxides of nitrogen, over a
hundred volatile organic compounds (VOCs), dioxins, polyaromatic
hydrocarbons (PAHs), polychlorinated biphenyls (PCBs) and
furans.
2.1
Particulates
Particulates are tiny
particles in the air that are classified by size. PM10s have a diameter of less than 10 microns whereas fine particulates (PM2.5s)
are less than 2.5 microns and ultrafine particulates (PM0.1s)
are less than 0.1 micron. Incinerators produce huge quantities
of fine and ultrafine particulates. Incinerators are permitted
to emit particulates at a rate of 10mg per cubic metre of
gaseous discharge. The commonly-used baghouse filters act like a
sieve, effectively allowing the smallest particulates to get
through and blocking the less dangerous, larger particulates.
Only 5-30% of the PM2..5s will be
removed by these filters and virtually none of the PM0.1s.
In fact the majority of particles emitted by incinerators are
the most dangerous ultrafine particulates1.
The baghouse filters are least effective at removing the
smallest particles, especially those of 0.2 to 0.3 microns, and
these will have a considerable health impact. Health effects are
determined by the number and size of particles and not the
weight. Measurements of the particle size distribution by
weight will give a false impression of safety due to the
higher weight of the larger particulates. Pollution abatement
equipment, installed to reduce emissions of nitrogen oxides, may
actually increase emissions of the PM2.5
particulates2.
The ammonia used in this process reacts with sulphurous acid
formed when steam and sulphur dioxide combine as they travel up
the stack, leading to the production of secondary particulates.
These secondary particulates are formed beyond the filters and
emitted unabated: they can easily double the total volume of
particulates emitted3.
Present modelling methods do not take secondary particulates
into account (see section 12).
Studies have shown that
toxic metals accumulate on the smallest particulates3
and that 95% of polycyclic aromatic hydrocarbons (PAHs) are
associated with fine
particulates (PM3
and below)
5-7.
PAHs are toxic and carcinogenic, and it has been estimated that
these increase the lung cancer risk by 7.8 times8.
2.2
Heavy Metals
Incinerators are allowed
to emit 10mg per cubic metre of particulates and 1mg per cubic
metre of metals. The limits mean little as, even within these
limits, the total amount of particulates and metals emitted will
vary with the volume per second of emissions generated by the
incinerator and this can vary hugely. A further concern is that
there are no statutory ambient air quality standards for heavy
metals apart from lead, which means the levels of heavy metals
in the surrounding air do not need to be monitored.
The proportion of metals
to particulates allowed to be emitted by incinerators is very
high and much higher than found in emissions from cars. At the
high temperatures found in incinerators metals are released from
metallic waste, plastics and many other substances. Many of the
heavy metals emitted, such as cadmium, are toxic at very low
concentrations. The selective attachment of heavy metals to the
smallest particulates emitted from incinerators4
increases
the toxicity of these particulates. This fact is likely to make
the particulates from incinerators more dangerous than
particulates from other sources such as from cars.
2.3
Nitrogen Oxides
Removal of nitric oxide
by incinerators is only about 60% effective and the nitric oxide
is then converted to nitrogen dioxide to form smog and acid
rain. Sunlight acts on nitrous oxides and volatile organic
compounds (VOCs) to produce another pollutant, ozone.
2.4
Organic Pollutants
A wide range of organic
pollutants are emitted from incinerators. These include PAHs
(polycyclic aromatic hydrocarbons), PCBs (polychlorinated
biphenyls), dioxins, furans, phthalates, ketones, aldehydes,
organic acids and alkenes.
The waste being burnt now
differs considerably from that burnt in the past with a higher
load of heavy metals and plastics producing far greater
potential for health and environmental problems. An example of
this is PVC which is more than 90% organic chlorine. It has been
used extensively for doors and windows and with an expected life
of 40 years it is likely to appear in increasing quantities in
the waste stream. This could easily raise the organic chlorine
in the waste stream to over 1%, which according to the European
Waste Directive would mean the waste would be regarded as
hazardous.
Many of the compounds are
known to be not only toxic but bio-accumulative and persistent.
They include compounds that have been reported to affect the
immune system9,
attach to chromosomes10,
disrupt hormone regulation11,
trigger cancer12,
alter behaviour13,
and lower intelligence14.
The very limited toxicity data on many of these substances is a
matter of concern15.
The changing nature of waste means new substances are likely to
be emitted and created. For example polybrominated diphenyl
ethers (PBDEs) are found in many electrical goods and are
increasingly finding their way into incinerator waste. They have
been found to affect brain development and affect the thyroid
gland and cause behavioural and learning defects in animals16,17.
3.
Health Effects of Pollutants
3.1
Particulates
A large and growing body
of literature has highlighted the dangers of particulates to
health. Various studies have confirmed that the smaller the
size of the particles the more dangerous the health effects18-21.
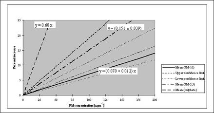
The data from the World Health Organisation shown in the graph
below clearly illustrates that PM2.5
particles have a
greater effect on daily mortality than the larger PM10s18
.

Figure 1. Increase in
daily mortality as a function of PM concentration.
(reproduced from ref 18,
Figure 3.6)
The smaller particles are
not filtered out by the nose and bronchioles and their miniscule
size allows them to be breathed deeply into the lungs and to be
absorbed directly into the blood stream where they can persist
for hours22.
They can then travel through the cell walls and into the cell
nucleus affecting the cell¡¯s DNA. The WHO state that there is no
safe level of PM2.5
18and
health effects have been observed at surprisingly low
concentrations with no threshold23,24.
The smallest particulates, particularly the ultrafine
particulates (PM0.1)
are highly chemically reactive, a property of their small size
and large surface area25.
A further danger of the smallest particulates is that there are
thousands more of them per unit weight. In incinerators heavy
metals, dioxins and other chemicals can adhere to their surface26
increasing
their toxicity. The body does not have efficient mechanisms for
clearing the deeper part of the lung as only a tiny fraction of
natural particles will be as small as this.
As incinerators are
effectively particulate generators and produce predominately the
smaller particulates that have the biggest effect on mortality
it is clear that incinerators have considerable lethal
potential.
a) Epidemiological
Studies of Particulate Pollutants
Fine particulates have
been associated with both respiratory and cardiovascular disease27 and
with lung cancer19,28.
Two large cohort studies
in the USA showed increasing mortality with increasing levels of
PM2.5
pollution. In the
Six City Study published in 199319
, 8,111
individuals were followed for 14-16 years (1974-1991), involving
a total of 111,076 person years, to examine the effect of air
pollution, allowing for smoking and other individual factors. As
expected, the greatest risk factor was smoking (adjusted
mortality-rate ratio 1.59) but, after allowing for individual
factors, mortality rates showed highly significant associations
(p<0.005) with the levels of fine particles and sulphate
particles in the cities, with the most polluted city giving an
adjusted all-cause mortality rate of 1.26 compared to the least.
This related to a PM2.5
difference of
18.6µg per cubic metre: cardiopulmonary mortality was increased
by 37% and lung cancer mortality was also 37% higher.
In the American Cancer
Society study20,
552,138 adults (drawn from the Cancer Prevention II study) were
followed from 1982 to 1989 and deaths analysed against mean
concentrations of sulphate air pollution in 1980 and the median
fine particulate concentration from 1979-1983, both obtained for
each participant¡¯s area of residence from Environmental
Protection Agency (EPA) data. Again, the strongest correlation
was between lung cancer and smoking (adjusted mortality risk
ratio 9.73), but both pollution measures showed highly
significant association with all-cause mortality and with
cardiopulmonary mortality: sulphates were also associated with
lung cancer. After adjusting for smoking and other variables,
higher fine particulate pollution was associated with a 17%
increase in all-cause mortality and a 31% increase in
cardiopulmonary mortality for a 24.5 µg per cubic metre
difference in PM2.5s.
These results are highly significant and led the EPA to place
regulatory limits on PM2.5s, establishing
the National Ambient Air Quality Standards in 1997. These
regulations were challenged by industry but ultimately upheld by
the US Supreme Court29
after the
data from all the studies had been subjected to intense scrutiny
including an extensive independent audit and a re-analysis of
the original data30.
The health benefits of
bringing in these new regulations have been estimated as $32
billion annually31
based on
mortality and chronic and acute health effects, and a White
House report from the Office of Management and Budget in
September 2003 calculated the benefits in terms of reductions in
hospitalizations, premature deaths and lost working days as
between $120 and $193 billion over the last 10 years (see
section 9.1). As this study looked at only three health
indicators it is likely to underestimate the true benefits.
It follows from this data
that incinerators and all other major sources of PM2.5
particulates will
generate substantial health costs as well as increasing
mortality.
b) Further Studies
An analysis published in
2002 of the Cancer Prevention II study participants linked the
individual factors, pollution exposures and mortality data for
approximately 500,000 adults as reported in the ACS study above,
bringing the follow-up to 1998
28. The
report doubled the follow-up period and reported triple the
number of deaths, a wider range of individual factors and more
pollution data, concentrating on fine particles. Smoking
remained the strongest factor associated with mortality, but
fine particulate pollution remained significantly associated
with all-cause, and cardiopulmonary mortality with average
adjusted RRs of 1.06 and 1.09. In addition, after the longer
follow-up period, fine particulates were significantly
associated with lung cancer mortality with an adjusted RR of
1.14. The authors reported that exposure to a 10µg per cubic
metre higher level of PM2.5s
was associated with a 14% increase in lung cancer and a 9%
increase in cardiopulmonary disease28
.
c) Cardiovascular
Disease
Researchers were
surprised to find that the increased cardiopulmonary mortality
associated with particulate pollution was primarily due to
cardiovascular disease. This was found in both the Six City and
ACS studies when they were re-analysed30.
When the causes of death in the Cancer Prevention II Study were
looked at in more detail32
to look for
clues to possible pathophysiological mechanisms, the link was
strongest with ischaemic heart disease: a 10µg per cubic metre
increase in PM2.5s
was associated with an 18% increase in deaths from ischaemic
heart disease (22% in never smokers). A more recent prospective
study, the Women¡¯s Health Initiative (WHI), followed 65,893
postmenopausal women (initially free of cardiovascular disease)
over 6 years, to examine the effects of the fine particulate
pollution in the neighbourhood of each participant on the first
cardiovascular or cerebrovascular incident and on mortality. The
results for mortality and morbidity were consistent. Each
increase of 10µg per cubic metre in fine particulate pollution
was associated with a 76% increase in deaths from cardiovascular
disease and an 83% increase in deaths from cerebrovascular
disease33.
The effect was independent of other variables but obese women
and those who spent more time outdoors were more vulnerable to
the effect. The WHI involved a more homogeneous study population
and had a number of other methodological advantages over the
earlier studies, resulting in greater sensitivity, and more
reliable estimates. However, part of the greater effect in this
study may be due to gender: there has been some evidence in
other studies that women are more susceptible to the
cardiovascular effects of fine particulates than men.
These results imply that
the increase in fine particulate pollution associated with
larger incinerators can be expected to increase mortality. It is
probably safe to extrapolate from the WHI assuming that the
effect on mortality in the WHI was genuine for women, and that
the risk to men would be half as great. In that case, if the
incinerator increased PM2.5
particulates by as little as 1µg per cubic metre, cardiovascular
mortality would be increased by 5-10%, with similarly increased
cerebrovascular mortality.
Acute myocardial
infarctions have been found to rise during episodes of high
particulate pollution, doubling when levels of PM2.5s
were 20-25µg per cubic metre higher34.
Particulates also increased mortality from stroke35,36.
One study concluded that 11% of strokes could be attributed to
outdoor air pollution37.
Episodes of increased particulate pollution also increased
admissions with heart disease38.
A recent study found that each 10µg per cubic metre rise in PM10
particulates was
associated with a 70% increase in DVT risk.39
Mortality
from diabetes27
and
admissions for diabetic heart disease are also increased40
and these
were double the non-diabetic CHD admissions, suggesting that
diabetics were particularly vulnerable to the effect of
particulate pollution40.
Higher levels of particulates have been associated with
life-threatening arrhythmias41
exercise-induced ischaemia42,
excess mortality from heart failure36,43 and
thrombotic disease36
.
d) Effect on Children
and the Foetus
Particulates carry
various chemicals including polycyclic aromatic hydrocarbons
(PAHs) into the human body. Frederica Perera from the Columbia
Center for Children¡¯s Environmental Health has found that the
foetus is 10 times more vulnerable to damage by these substances44
. She also
found that PM2.5
particulates have
an adverse effect on the developing foetus with significant
reductions in weight, length and head circumference and
reiterated the importance of reducing ambient fine particulate
concentrations45.
In addition further studies have shown an adverse effect on
foetal development at levels currently found in cities today,
such as New York46.
Air pollution has been found to cause irreversible genetic
mutations in mice. Researchers found, in contrast, that if mice
breathed air which had been freed of particulates by filtration
they developed only background levels of genetic mutations,
confirming that particulates were causative47
. At the fourth Ministerial Conference of
Environment and Health in June 2004, the WHO announced that
between 1.8 and 6.4% of deaths in the age group from 0 to 4
could be attributed to air pollution48.
e) Acute Respiratory
Incidents
Elevated particulate air
pollution has been associated with increased hospital admissions
with asthma24
and with
COPD49,
increases in respiratory symptoms50,51,
higher incidence of asthma52,
reduced immunity53,54,
higher rates of ear, nose and throat infection52,
loss of time from school in children through respiratory disease55,56,
and declines of respiratory function57-59.
A sad aside to the above is that children who did more outdoor
sport had greater declines in respiratory function59.
We are doing a great disservice to our children if they cannot
pursue healthy activities without damaging their health.
f) Mortality from
Particulate Pollution
Episodes of increased
particulate pollution have been associated with increased
cardiovascular mortality19,20,27,28,36,43,60
and
increased respiratory mortality43,44.
About 150 time-series studies around the world have shown
transient increases in mortality with increases in particulates.
Cohort studies have shown a long-term effect on mortality19,20,28 (see
section 3.1a).
Can we quantify this
mortality? It has been estimated that the increased mortality
works out as about a 0.5-1% increase in mortality for each 10µg
per cubic metre rise in PM10s61
for acute
exposures and a 3.5% rise for chronic exposures31.
For PM2.5s
the increase in mortality is much greater, especially for
cardiopulmonary mortality (see Table).
Table 1 Cardiopulmonary
Mortality and Fine Particulate Pollution
Study
|
Reference &
Year |
No of
Participants |
Follow up
|
Adjusted
excess c/p mortality |
Difference
in PM2..5s
in µg/m3
|
Adjusted
excess c/p mortality for rise of 10µg/ m3
|
Six Cities |
19
1993 |
8,111 |
1974-1991 |
37%
|
18.6
|
19.8% |
ACS Cancer
Prevention II |
20
1995 |
552,138 |
1982-1989 |
31%
|
24.5 |
12.7%
|
Cancer
Prevention II |
28
2002 |
500,000 |
1982-1998 |
9%
|
10
|
9%
|

When the data
from the Six Cities Study and the ACS study were subject to
audit and re-analysis (see section 3.1a) the cardiopulmonary
deaths were separated into pulmonary and cardiovascular30.
Unexpectedly most of the excess deaths due to particulates had
been from cardiovascular causes. This was apparent in each of
the analyses performed giving figures for the increase in
cardiovascular mortality in the Six Cities study of between 35%
and 44% for an 18.6 µg per cubic metre difference in PM2.5s
and in the ACS study between 33% and
47% for a 24.5µg per cubic metre. This was much higher in each
case than the increase in respiratory deaths of 7%. In the ACS
data it was later found that the excess cardiovascular deaths
were primarily due to an 18% increase in deaths from ischaemic
heart disease for each 10µg per cubic metre rise in PM2.5s32
. The Women¡¯s Health Initiative
study has demonstrated an even stronger statistical relationship
between raised levels of fine particulates and cardiovascular
deaths with a 76% increase in cardiovascular mortality for each
10µg per cubic metre increase in PM2.5
particulates, and this depended not
just on which city a woman lived in but in which part of that
city33.
This study, more than any other, demonstrates the great dangers
posed by fine particulates and the highlights the urgent need to
remove major sources of these pollutants.
As incinerators selectively emit smaller
particulates and cause a greater effect on levels of PM2.5s
than PM10s,
they would therefore be expected to have a significant impact on
cardiopulmonary mortality, especially cardiovascular mortality.
This has not so far been studied directly.
g) Studies
Involving Ultrafine Particles
Ultrafine particles (0.1µg per cubic metre
and below) are produced in great numbers by incinerators1.
They have been less studied than PM2.5
and PM10
particulates but there has been enough
data available for the WHO to conclude that they produce health
effects immediately, after a time lag and in association with
cumulative exposure. They have been found to have a more marked
effect on cardiovascular mortality than fine particulates, with
a time lag of 4-5 days62.
Stroke mortality has been positively associated with current and
previous day levels of ultrafine particulates and this has
occurred in an area of low pollution suggesting there may be no
threshold for this effect63.
Ultrafine particulates have also been reported to be more potent
than other particulates on a per mass basis in inducing
oxidative stress in cells64
and they have the ability to
cross the blood-brain barrier and lodge in brain tissue65
. They represent another largely
unknown and unexplored danger of incineration.
h) Assessment by
the WHO and Other Authorities
Based on the
World Health Organisation Air Quality Guidelines66
we have
estimated that a 1µg per cubic metre
increase in PM2..5
particulates (a very conservative
estimate of the level of increase that would be expected around
large incinerators) would lead to a reduced life expectancy of
40 days per person over 15 years (this equals a reduction of
life expectancy of 1.1 years for each 10µg per cubic metre
increase in PM2.5
particulates). Although this figure
appears small they note that the public health implications are
large and the effect on a typical population of 250,000
surrounding an incinerator would be a loss of 27,500 years of
life over a 15 year time period. This figure gives an indication
of the likely loss of life from any major source of PM2.5
particulates. In addition, incinerators normally operate for
much longer periods than the 15 years quoted here. Note that the
estimated loss of life here is likely to be an underestimate as
it is from particulates alone and not from other toxic
substances.
The European
Respiratory Society67
has published its concern about
the mismatch between European Union policy and the best
scientific evidence. They state that a reduction in the yearly
average PM2.5
particulates to 15µg per cubic metre *
would result in life expectancy gains, at age 30, of between 1
month and 2 years. They point out that the benefits of
implementing stringent air pollution legislation would outweigh
the costs. These recommendations are sensible and based on sound
science. A programme of building incinerators would
unfortunately achieve the opposite: they would increase
particulate pollution, reduce life expectancy and would be at
odds with the best science.
Statements by leading researchers include the
following: ¡°the magnitude of the association between fine
particles and mortality suggests that controlling fine particles
would result in saving thousands of early deaths each year¡±
(Schwartz)61
and ¡°there is consistent
evidence that fine particulates are associated with increased
all cause, cardiac and respiratory mortality. These findings
strengthen the case for controlling the levels of respiratory
particulates in outdoor air¡±
60.
* The National
Ambient Air Quality Standard for PM
2.5
particulates was
introduced into the
USA in 1997 with a
mean annual limit of 15µg per cubic metre. This had measurable
health benefits. An annual mean limit for PM
2.5
particulates is to
be introduced into Scotland in 2010 and this will be 12µg per
cubic metre. An annual mean target for PM
2.5
particulates is to
be introduced into the UK in 2020 and this will be will be 25µg
per cubic metre. Many will wonder why the difference is so vast
when the science is the same.
i) Summary
In summary there is now robust scientific
evidence on the dangers to health of fine particulates and of
the substantial health costs involved. Recent studies have shown
the risk to be considerably greater than previously thought. For
these reasons it is impossible to justify increasing levels of
these particulates still further by building incinerators or any
other major source of PM2.5
particulates. The data makes it quite
clear that attempts should be made to the reduce levels of these
particulates whenever possible. However particulates are not the
only reasons to be concerned about incinerators. There are other
dangers:-
3.2 Heavy Metals
Pope reported
that hospital admissions of children with respiratory disease
fell dramatically in the Utah valley when a steel mill was
closed for a year due to a strike. Air pollution analysis showed
that the metal content of particulates was lower that year and
that the type of inflammation found in the lungs while the steel
mill was working could be reproduced in both rat and human lung
tissue by using air pollutants of the type emitted by the steel
mill68,69.
This is a very clear illustration of the dangers of pollution of
the air with heavy metals. Exposure to inhaled metals, similar
to the type produced by incinerators, have been shown to mediate
cardiopulmonary injury in rats70
and small amounts of metal (<1%) in particulates
are known to cause pulmonary toxicity71.
Salts of heavy metals such as iron and copper act as catalysts
for dioxin formation causing rapid
rates of dioxin formation72
increasing the dangers from burning metals.
Incinerator
emissions to air and ash contain over 35 metals73
. Several are known or suspected
carcinogens. Toxic metals accumulate in the body with increasing
age74.
Breathing in air containing toxic metals leads to
bioaccumulation in the human body. They can remain in the body
for years: cadmium has a 30 year half-life. Incineration adds to
the burden of toxic metals and can lead to further damage to
health.
Mercury is a
gas at incineration temperatures and cannot be removed by the
filters. Incinerators have been a major source of mercury
release into the environment. In theory mercury can be removed
using activated carbon but in practice it is difficult to
control and, even when effective, the mercury ends up in the fly
ash to be landfilled. Mercury is one of the most dangerous heavy
metals. It is neurotoxic and has been implicated in Alzheimer¡¯s
disease75-77
, learning disabilities and
hyperactivity78,79.
Recent studies have found a significant increase in both autism
and in rates of special education students around sites where
mercury is released into the environment80,81.
Inhalation of
heavy metals such as nickel, beryllium, chromium, cadmium and
arsenic increases the risk of lung cancer12
. Cumulative exposure to cadmium
has been correlated with lung cancer82
. Supportive evidence comes from
Blot and Fraumeni who found an excess of lung cancer in US
counties where there was smelting and refining of non-ferrous
metals83.
Inhaled cadmium also correlates with ischaemic heart disease84.
So what are the
dangers caused by toxic metals accumulating in the body? They
have been implicated in a range of emotional and behavioural
problems in children including autism85,
dyslexia86,
impulsive behaviour87
attention deficit and
hyperactivity disorder (ADHD)88,89
as well as learning difficulties14,78,90-93,
lowered intelligence89
and delinquency94,89,
although not every study reached standard significance levels.
Many of these problems were noted in the study of the population
round the Sint Niklaas incinerator95
. Exposed adults have also been
shown to be affected, showing higher levels of violence13,96,
dementia97-103
and depression than non-exposed
individuals. Heavy metal toxicity has also been implicated in
Parkinson¡¯s disease104.
Heavy metals emitted from incinerators are
usually monitored at 3 to 12 monthly intervals in the stack:
this is clearly inadequate for substances with this degree of
toxicity.
3.3 Nitrogen Oxides
and Ozone
Nitrogen
dioxide is another pollutant produced by incinerators. It has
caused a variety of effects, primarily on the lung but also on
the spleen, liver and blood in animal studies. Both reversible
and irreversible effects on the lung have been noted. Children
between the ages of 5 and 12 years have been estimated to have a
20% increase in respiratory symptoms for each 28 µg per cubic
metre increase in nitrogen dioxide. Studies in Japan showed a
higher incidence of asthma with increasing NO2
levels and that it synergistically
increases lung cancer mortality rates41
. It has also been reported to
aid the spread of tumours105,106.
Increases in NO2
have been associated with rises in
admissions with COPD107,
asthma in children and in heart disease in those over 6518.
Other studies have shown increases in asthma admissions108
and increased mortality with
rising NO2
levels109.
Rising ozone
levels have led to increasing hospital admissions, asthma and
respiratory inflammation and have been reported to lower
immunity110.
Higher levels have been significantly associated with increased
mortality111
and with cardiovascular disease.
Both ozone and nitrogen dioxide are associated with increasing
admissions with COPD107.
When it comes to incinerator emissions the
health effects of nitrous oxides are likely to compound the
negative health effects of particulates
3.4 Organic
Toxicants
Hundreds of
chemical compounds are released from incinerators. They include
a host of chemicals produced from the burning of plastic and
similar substances and include polycyclic aromatic hydrocarbons
(PAHs), brominated flame retardants, polychlorinated biphenols
(PCBs), dioxins, polychlorinated dibenzofurans (furans). These
substances are lipophilic and accumulate in fatty tissue and
remain active in the living organisms and the environment for
many years. They have been linked with early puberty112,
endometriosis113,
breast cancer114,115,
reduced sperm counts116
and other disorders of male
reproductive tissues117,
testicular cancer118
and thyroid disruption11
. It has been claimed that about
10% of man-made chemicals are carcinogenic (see section 5.1),
and many are now recognised as endocrine disrupters. Most of
these health effects were not anticipated and are only now being
recognised. No safety data exist on many of the compounds
released by incinerators.
PAHs are an example of organic toxicants.
Although emission levels are small these substances are toxic at
parts per billion or even parts per trillion73
as opposed to parts per million
for many other pollutants. They can cause cancer, immune
changes, lung and liver damage, retarded cognitive and motor
development, lowered birth weight and lowered growth rate73.
a) Organochlorines
The most
detailed analysis to date on incinerator emissions has
identified several hundred products of incomplete combustion
(PICs) including 38 organochlorines ¨C but 58% of the total mass
of PICs remained unidentified119.
Organochlorines, which include dioxins, furans and PCBs, deserve
special attention, because of their known toxicity, because they
bioaccumulate, and because of the likelihood that they will
increase in the waste stream. Their major precursor, PVC,
presently makes up 80% of organically bound chlorine and the
amount of PVC in waste is likely to increase significantly in
the future120.
Clearly organochlorines will be an important component of
incinerator emissions.
Organochlorines
as a group are associated with six distinct types of health
impact and these often occur at low concentrations. They are
associated with 1) reproductive impairment in males and females
2) developmental damage 3) impaired cognitive ability and
behaviour 4) neurological damage 5) suppressed immunity and 6)
hormonal disruption and hormonal cancers. Each of these six
effects has been demonstrated in three separate fields: in
humans, in laboratory animals and in wildlife121.
The American Pubic Health Association (APHA) concluded
¡°virtually all organochlorines that have been studied exhibit at
least one of a range of serious toxic effects, such as endocrine
disruption, developmental impairment, birth defects,
reproductive dysfunction and infertility, immunosuppression and
cancer, often at extremely low doses¡±122.
Other organohalogens such as bromides and fluorides have many
similar properties.
A common misconception is that these
pollutants have little effect if dispersed into the environment.
This is wrong for several reasons. Firstly they are persistent
as there is no mechanism in the environment to break them down
and so they accumulate. Secondly as they are fat soluble they
concentrate in living matter, often dramatically, at
progressively higher concentrations (bioaccumulation). For
example dioxin has been found in fish at levels 159,000 times
that found in the water123;
PCBs have been found in North Pacific Dolphins at 13 million
times the concentration in the water124
and trichloroacetic acid is
found in North European conifers at 3-10,000 times that in the
ambient air125.
Thirdly they are concentrated by the foetus so a typical polar
bear cub has a body burden double that of its mother126
and at a level known to cause
reproductive failure, altered brain development and immune
suppression127.
Fourthly they are nearly all toxic. In short the ability of
ecosystems to assimilate organochlorines and other persistent
bioaccumulative compounds is close to zero and they should
simply never be released into the environment.
b) Dioxins
Dioxins are the
organochlorines compounds most associated with incinerators and
inventories have consistently shown that incinerators are the
major source of emissions of dioxins into the air128-30
though these are decreasing*.
Dioxin releases over the last few decades have caused widespread
contamination of food, significant toxic body burdens in nearly
all human beings and severe pollution of the Arctic. None of
this was foreseen. The damage already done by incinerators has
been incalculable.
Eighteen
separate assessments of dioxin¡¯s carcinogenicity have involved
five different routes of exposure, five different species, low
and high doses and long or short exposure times. In every
case dioxins have caused cancer, involving nine different types
of cancer, including lymphomas, cancers of the lung, liver,
skin, soft tissue and of the oral and nasal cavities131.
The National Institute of Environmental Health have looked for,
but been unable to find, any threshold for the toxicity of
dioxin. At the lowest detectable concentrations it can induce
target genes and activate a cascade of intracellular molecular
effects and can promote pre-malignant liver tumours and disrupt
hormones132.
Even doses as low as 2.5 parts per quadrillion can stop cultured
cells from showing changes characteristic of immune responses133
.
The US
Environmental Protection Agency¡¯s current estimate of dioxin¡¯s
carcinogenicity, derived from animal studies, is that the
average person¡¯s exposure to dioxin, which is 3-6 picogram per
kilogram per day** gives a lifetime cancer risk of between 500
and 1000 per million134.
(An acceptable cancer risk is considered to be between 1 in a
million and 1 in 100,000). In comparison, a German study135,
derived from human dioxin exposure, found that each additional
unit dose of dioxin (one picogram per kilogram of body weight
per day) is associated with an increase in lifetime cancer risk
of between 1000 and 10,000 per million.
The average
infant receives doses of dioxins of 60-80 picograms (TEQ) per
kilogram per day136,137
which is 10-20 times higher than
those of the average adult and exceeds by a factor of 6 ¨C 10,000
every government in the world¡¯s acceptable daily intake.*** This
dioxin intake in the first year has been calculated to pose a
cancer risk to the average infant of 187 per million (187 times
the acceptable level)138
.
All these
figures demonstrate that dioxins already in the environment are
at unacceptable levels and are likely to be causing up to 6% of
all cancers and to be having a range of adverse impacts on
health including subtle effects.
Rats given
dioxin to produce a body burden of dioxin at about half the
average in the human population had male offspring whose sperm
count was reduced by 25%139
and rhesus monkeys given dioxin
equivalent to twice the average human body burden had increased
foetal death in their offspring and cognitive impairment which
was transgenerational (passed on to their offspring) and
abnormally aggressive behaviour140,141.
This data indicates that releasing even a small amount of dioxin
into an already overloaded environment can simply not be
justified.
*An assessment of dioxins by the European Dioxin Inventory in
2005 found that in the UK, the biggest single source of dioxins
in 2000 and in 2005 (projected figure) was the incineration of
municipal waste, producing 20 times as much dioxin as road
transport142.
**
a picogram is 1,000,000,000,000 gram, ie. a billionth of a gram
in the UK, but more typically
described in US
literature as a trillionth of a gram.
*** Tolerable daily
intake (TDI) is set at 0.006 picograms/kg per day in the US and
2
picograms/kg per day
in the UK.
3.5 Effects on
Genetic Material
Both heavy
metals and many chemicals form covalent bonds with DNA called
DNA adducts. This can increase the risk of cancer by activating
oncogenes and blocking anti-tumour genes. This raises a very
serious concern. This concern is that by releasing chemicals
into the environment we may not only be poisoning this
generation but the next. Carcinogenesis from chemicals being
passed on through several generations is not just a horrifying
scenario but has been demonstrated to occur in animals143,144.
Incinerator emissions would greatly increase this risk.
DNA adducts to PAHs increase with exposure to
pollution and patients with lung cancer have higher levels of
adducts (see below). This is one demonstration of how pollutants
alter genes and predispose to cancer. Other chemicals, such as
vinyl chloride interfere with DNA repair and yet others such as
organochlorines are tumour promoters.
3.6 Effects on the
Immune System
Starting in the
late 1980s a series of dramatic marine epidemics killed off
thousands of dolphins, seals and porpoises. Many were found to
have been affected by a distemper-like virus. Autopsies of the
dead animals showed weakened immune systems and high levels of
pollutants including PCBs and synthetic chemicals. A virologist,
Albert Osterhaus and his co-workers, demonstrated that when
seals were fed contaminated fish containing organochlorines
(which were, however, considered fit for human consumption) they
developed immune suppression and were unable to fight viruses145-7.
Their natural killer cells were 20-50% below normal and their T
cell response dropped by 25-60%. The immune suppression was due
to dioxin-like chemicals, PCBs and synthetic chemicals. An
immunologist Garet Lahvis found immunity in dolphins in the USA
dropped as PCBs and DDT increased in their blood148.
The immune system appeared most vulnerable during prenatal
development. This demonstrates that the immune system may be
damaged by exposure to synthetic chemicals and that we have
seriously underestimated the dangers of these chemicals.
Animal
experiments have shown immunotoxicity with heavy metals,
organochlorine pesticides and halogenated aromatics149
and accidental exposure data on
humans has shown immunotoxicity with PBBs, dioxins and aldicarb.
In fact whole volumes have been written on immunotoxicity150.
Note these are the type of pollutants released by incinerators.
Environmental toxins have been shown to decrease T-lymphocyte
helper-suppressor ratios in four different exposed populations151.
Nitrogen dioxide exposure leads to abnormally elevated immune
and allergic responses. PM2.5
particulates
themselves can cause mutagenic and cytotoxic effects and the
smallest particulates cause the greatest effects152.
In utero
exposure to dioxins results in thymus atrophy and weakened
immune defences153.
When female rhesus monkeys were exposed to PCBs at very low
levels producing a body burden typical of general human
population, their offspring¡¯s ability to mount a defence against
foreign proteins was permanently compromised154.
In summary there is abundant evidence that a
large number of the pollutants emitted by incinerators can cause
damage to the immune system155
. As is demonstrated in the next
section the combination of these is likely to have an even more
potent and damaging effect on immunity than any one pollutant in
isolation.
3.7 Synergistic
Effects
Various studies
have shown that a combination of substances can cause toxicity
even when the individual chemicals are at a level normally
considered safe. The report ¡°Man¡¯s Impact on the Global
Environment¡± by the Massachusetts Institute of Technology stated
¡°synergistic effects among chemical pollutants are more often
present than not¡±156.
Testing has been minimal and most of the synergistic effects are
likely to remain unknown. Toxicologist Prof Vyvyan Howard has
calculated that to test just the commonest 1,000 toxic chemicals
in unique combinations of three would require 166 million
different experiments and even this would disregard varying
doses157
.
Synergy has
been demonstrated when organic chemicals are combined with heavy
metals,158,159
and with combinations of
pesticides160,161
and food additives162.
The last study is of particular concern. Rats fed with one
additive were unharmed. Those fed two developed a variety of
symptoms whereas those fed all three all died within two weeks.
In this case the chemicals appeared to amplify each other¡¯s
toxicity in logarithmic fashion. In a recent experiment
scientists dosed animals with a mixture of 16 organochlorine
pesticides, lead and cadmium at ¡°safe levels¡± and found they
developed impaired immune responses, altered thyroid function
and altered brain development163.
Another study in 1996, published in Science, reported on the
dangers of combinations of pesticides and their ability to mimic
oestrogen. They found that combinations could increase the
toxicity by 500 to 1000 times164.
Mice exposed to 25 common groundwater pollutants, all at levels
well below those that produce any effects in isolation,
developed severe immunosuppression165.
The level of concern about the multiplicity of pollutants
released into the air by incinerators is enhanced by the fact
that even when the probable effects of the single pollutants
involved are known, no one has any idea what damage the
combinations can cause.
The population
living round an incinerator is being exposed to multiple
chemical carcinogens, and to fine particulates, to carcinogenic
heavy metals (in particular cadmium) and in some cases to
radioactive particles, all known to increase lung cancer.
Nitrogen dioxide has also been shown to synergistically increase
lung cancer. When all these are combined, the effects are likely
to be more potent, and, in fact, an increase in the incidence of
lung cancer has been reported around incinerators (see section
4.1).
The potential for multiple pollutants to
cause other serious health effects is illustrated by the results
of a key study on rats exposed to the dust, soil and air from a
landfill site. These animals developed abnormal changes in the
liver, thyroid and reproductive organs within only two days of
exposure166.
Although effects in animals do not always mimic those in humans,
the authors concluded that present methods of
calculating health risks underestimate the
biological effects. This has obvious relevance to the dangers of
exposing people to multiple pollutants from incinerators.
4. Increased
Morbidity and Mortality near Incinerators
4.1 Cancer
There have been
a number of studies of the effect of incinerators on the health
of the surrounding population, mainly concentrating on cancer
incidence. In most studies, the incinerators were situated near
other sources of pollution and often in areas of deprivation,
both likely to confound the findings since both are associated
with higher cancer incidence. The study of an incinerator
burning 55,000 tonnes of waste a year and built in 1977 in the
middle of a residential area of a town of 140,000 with no heavy
industry (Sint Niklaas) is scientifically unsatisfactory because
funds were not made available for the study of controls95
. However, the investigators
mapped a convincing cluster of 38 cancer deaths immediately
surrounding and to leeward of the incinerator, and this area
also showed high concentrations of dioxin in soil samples when
tested in 1992. They noted that the cancer SMR for this town for
1994-1996 (national statistics) was high (112.08 for males and
105.32 for females), supporting the genuine nature of their
findings.
In 1996,
Elliott et al. published a major study167
in which they compared the
numbers of registered cancer cases within 3 km and within 7.5 km
of the 72 municipal waste incinerator sites in the UK with the
number of cases expected. It involved data on over 14 million
people for up to 13 years. Expected numbers were calculated from
national registrations, adjusted for unemployment, overcrowding
and social class. No account was taken of prevailing winds, or
of differences between incinerators. They first studied a sample
of 20 of the incinerator sites, replicating the analysis later
with the other 52. If the results of two sets like this concur,
it strengthens the data. In each set there was an excess of all
cancers near the incinerators, and excesses separately of
stomach, colorectal, liver and lung cancers, but not leukaemias.
The first set gave adjusted mortality ratios for all cancers of
1.08 for within 3km and 1.05 within 7.5 km; for the second these
were 1.04 and 1.02. These risks, representing an additional risk
of 8% and 5% for the first set and 4% and 2% for the second,
seem small but represented a total of over 11,000 extra cancer
deaths near incinerators and were highly significant (p <0.001
for each).
For each of the
main cancer sites the excesses were higher for those living
within 3 km than for all within 7.5 km167,168,
suggesting that the incinerators had caused the excess. The
authors doubted this and attributed the findings to additional
confounding in spite of the fact that they had already adjusted
(possibly over-adjusted) for unemployment, overcrowding and
social class, which give a partial correction for pollution.
Moreover, the effect on people living to leeward of the
incinerator would be substantially higher than shown by this
study as the true number of people affected was diluted by those
living at the same distance but away from the wind plume coming
from the incinerator.
Knox et al.
looked at the data from 22,458 children who died of cancer
between 1953 and 1980 in the UK169.
For each child they compared the distance of the
birth and death addresses from the nearest
source of pollution and found a consistent asymmetry: more had
moved away from the nearest hazard than towards it169.
They deduced that the excess of migrations away from the hazard
(after allowing for social factors) was evidence that the
children had been affected by the cancer-causing pollution
before or shortly after birth.
Later they
applied the method to the set of incinerators studied by Elliott
et al. and again showed the same asymmetry in the children¡¯s
birth and death addresses, indicating that the incinerators had
posed a cancer risk to children170.
Of the 9,224 children for whom they had found accurate birth and
death addresses, 4,385 children had moved at least 0.1 km.
Significantly, more children had migrated away from incinerators
than towards. For all those who had at least one address within
3 km of an incinerator, the ratio was 1.27. When they limited
the analysis to children with one address inside a 5 km radius
from the nearest incinerator and the other address outside this
radius the ratio was 2.01; this indicated a doubling of cancer
risk. Both these findings were highly significant (p <0.001 for
each). The excess had only occurred during the operational
period of each incinerator and was also noted round hospital
incinerators but not landfill sites. This is strong evidence
that the incinerators¡¯ emissions contributed to the children¡¯s
cancer deaths.
Biggeri et al.
in 1996 compared 755 lung cancer deaths in Trieste with controls
in relation to smoking, probable occupational exposure to
carcinogens and air pollution (measured nearest to their homes)
and the distance of their home from each of four pollution
sites. The city centre carried a risk of lung cancer but the
strongest correlation was with the incinerator where they found
a 6.7 excess of lung cancer after allowing for individual risk
factors171.
Using a spatial
scan statistic, Viel et al 2000 looked at the incidence of soft
tissue sarcoma and non-Hodgkin¡¯s lymphoma from French Cancer
Registry data, in two areas close to an incinerator with high
emission of dioxin172.
They found highly significant clusters of soft tissue sarcoma
(RR 1.44) and of non-Hodgkins lymphoma (RR 1.27) but no clusters
of Hodgkins disease (used as negative control). This study was
interesting in that it was designed to look both in a focussed
way at the area round the incinerator, and to check the
association by looking for space time relationships which should
be present if the relationship was causal. In addition they
looked in an unfocussed way for other clusters in the wider area
which contained other areas of deprivation. Both the first two
analyses were positive close to the incinerator -demonstrating
that a causal relationship was likely -and since no other
clusters were found they concluded that deprivation could be
virtually excluded as a factor.
According to
Ohta et al, Japan built 73% of all the municipal waste
incinerators in the world and by 1997 had become very concerned
about their health effects: in the village of Shintone, 42% of
all deaths between 1985-95 in the area up to 1.2 km to leeward
of an incinerator (built in 1971) were due to cancer, compared
to 20% further away and 25% overall in the local prefecture173
. Their data on soil
contamination reinforced the importance of considering wind
directions in evaluating the health effects of incinerators.
Comba found an
increased incidence of soft tissue sarcoma in an Italian
population living within 2 km of an incinerator174.
Zambon et al looked at cases of sarcoma from a different
perspective. They calculated dioxin exposure from incinerators
and other industrial sources in patients with sarcoma using a
dispersion model and found the risk of sarcoma increased with
the extent and duration of exposure to dioxin175.
In 1989 Gustavsson reported a twofold
increase in lung cancer in incinerator workers in Sweden
compared to the expected local rate176.
In 1993 he reported a 1.5 fold increase in oesophageal cancer in
combustion workers, including those working in incinerators177.
4.2 Birth Defects
There have been
five reports of increases in congenital abnormalities around
incinerators. The investigators at Sint Niklaas noted multiple
birth defects to leeward of the incinerator95.
Orofacial defects and other midline defects were found to be
more than doubled near an incinerator in Zeeburg, Amsterdam178.
Most of these deformed babies were born in an area corresponding
to wind-flow from the incinerator and other defects included
hypospadius and spina bifida. In the Neerland area, Belgium,
there was a 26% increase in congenital anomalies in an area
situated between two incinerators179.
A study of incinerators in France has shown chromosomal defects
and other major anomalies (facial clefts, megacolon, renal
dysplasias)180.
A recent British study looked at births in Cumbria between 1956
and 1993 and reported significantly increased lethal birth
defects around incinerators after adjusting for year of birth,
social class, birth order, and multiple births. The odds ratio
for spina bifida was 1.17 and that for heart defects 1.12. There
was also an increased risk of stillbirth and anencephalus around
crematoriums181.
The study pointed out that the figures for birth defects are
likely to be substantial underestimates since they do not
include spontaneous or therapeutic abortions, both increased by
foetal anomalies.
In addition, several studies have noted an
increase in birth defects near waste sites, particularly
hazardous waste sites. The pattern of abnormalities was similar
to the pattern found with incinerators, with neural tube defects
often being the most frequent abnormality found, with cardiac
defects second182-85.
Harmful chemicals are normally stored in fatty tissue: in the
foetus there is little or no fatty tissue except for that in the
brain and nervous system, which may explain the pattern of
damage. A review of this subject stated ¡°the weight of
evidence points to an association between residential proximity
to hazardous waste site and adverse reproductive outcomes.¡±186
4.3 Ischaemic Heart
Disease
Gustavsson found an excess of ischaemic heart
disease176
in incinerator workers who had
been exposed for longer. We have not found any epidemiological
studies of cardiovascular disease in the neighbourhood of
incinerators, but in view of the research on particulates (see
section 3.1) this should be investigated.
4.4 Comment
The authors of
some of these reports did not consider that they had sufficient
grounds for concluding that the health effects round
incinerators were caused by pollution from the
incinerators. However, statistically their findings were highly
significant and, taking the studies together, it is difficult to
believe that all their results could have been due to
unrecognised confounding variables. This is even less likely
when you consider the nature of the pollutants released from
incinerators and the scientific evidence for the health effects
of those compounds (see sections 2 and 3). The concordance of
increased cancer incidence in local areas demonstrated to be
more polluted also points to a causal association, although it
does not necessarily imply that the pollutant measured
contributed to the increase.
The studies may
have underestimated the risks. At 13 years, the follow-up period
of the large British study was probably too short: at Sint
Niklaas adult cancer cases seemed to increase from 13 years
onward (although children¡¯s cancers occurred earlier), and in
Japan, Ohta noted that cancer caused 42% of all deaths in the
lee of incinerators from 14 to 24 years after the incinerator
was commissioned173
. The reported risks were higher
in the studies in which allowance was made for the direction of
prevailing winds, possibly because of dilution elsewhere by
relatively unexposed persons.
The studies
reviewed apply to the older incinerators: newer incinerators may
have better filters but fine particulates and metals are
incompletely removed. Since some of these pollutants, notably
fine particulates, do not appear to have a safe threshold, it is
clearly incorrect to claim that incinerators are safe. The
higher quantity of toxic fly ash produced by modern
incinerators, which is easily wind-borne, represents an
additional hazard. Even if incinerators were equipped with
perfect filters, their huge size and tendency to faults means
that the risk of intermittent high levels of pollution is a real
concern.
Taking into account these results and the
difficulty in identifying causes of cancers and other chronic
diseases, it is a matter of considerable concern that
incinerators have been introduced without a comprehensive system
to study their health effects, and that further incinerators are
being planned without comprehensive monitoring either of
emissions or of the health of the local population.
5. Disease Incidence
and Pollution
5.1 Cancer
Studies linking
cancer with incinerators cannot be seen in isolation. It is
important to obtain an overall picture and look at other studies
which link pollutants with cancer. And there is another aspect
to this. Many types of cancer, including lung, pancreatic and
stomach cancer, have a very poor prognosis and our only hope
lies in prevention. Prevention means reducing our exposure to
carcinogenic substances and we should take every opportunity to
do this.
Cancer has
shown an unrelenting rise over the last century, and is
affecting younger people. The rise has been gradual, steady and
real. Cancer incidence has been increasing by 1% per annum with
an age standardized increase in mortality of 43% between 1950
and 1988187.
Put another way, the chance of dying from cancer at the turn of
the 20th
century was 1 in 33. It is now 1
in 4. WHO data has demonstrated that 80% of cancers are due to
environmental influences,188
and evidence from migrant
studies confirms that it is mainly the environment rather than
the genes that determine the cancer risk188
.
Many people have noted that the rise in
cancer has paralleled the rise in the production and use of
synthetic chemicals, all the more remarkable since there has
been a simultaneous large drop in smoking in males in many
countries.
In the second half of the twentieth
century synthetic chemical production doubled every 7 to 8 years
with a 100 fold increase over the last 2 generations189.
Many converging pieces of evidence link chemicals to the
relentless rise of cancer.
a) Links between exposure
to pollutants and cancer in man
Cancer is commonest in industrialised countries with 50% of
cases in the industrialised 20% of the world190
and the WHO has noted that
cancer incidence rises with the GNP of a country.
There is the same correlation within countries. The highest
mortality from cancer in the USA is in areas of highest
industrialised activity. There is also a correlation in the USA
between cancer incidence and the number of waste sites in the
county191,192.
Counties with facilities for treating toxic waste have four
times as much breast cancer193.
Cancer is also commoner in counties with chemical industries194.
Public Data Access in the USA shows a close correlation between
cancer mortality and environmental contamination195.
Numerous studies have shown higher cancer incidence in both
industrial workers and in populations living in polluted areas.196,197
One of the three most rapidly rising cancers, non-Hodgkin¡¯s
lymphoma, has been clearly linked with exposure to certain
chemicals (for instance phenoxyherbicides and chlorophenols).198,199
b) Links between exposure
to pollutants and cancer in animals
Three decades of studies
of cancers in wildlife have shown that these are intimately
associated with environmental contamination. This is
particularly important as animals do not smoke, drink or eat
junk food and cannot be accused of living in deprived areas.
This strengthens the long-suspected link between environmental
pollution and cancer. In a recent study of outbreaks of liver
cancer in 16 different species of fish at 25 different sites,
cancers were always associated with environmental contamination200.
Dogs have been found to have higher rates of bladder cancer in
industrialised counties in the USA201.
It is inconceivable that we are not affected in the same way.
Furthermore cancer rates in animals rapidly decline when the
pollutants are removed showing the critical importance of an
uncontaminated environment for good health.202
c) Large increases in
cancer in certain tissues
Steep rises in cancer
have occurred in tissues directly exposed to the environment:
the lung and skin. But some of the steepest rises have occurred
in parts of the body with high fat content, including cancers of
the brain, breast, bone marrow and liver. This again points to
toxic chemicals which are predominantly stored in the fatty
tissues.
d) Genetic mutation
Many chemicals are known
to attach to DNA causing genetic change in the form of DNA
adducts. The research of molecular epidemiologist, Dr Frederica
Perera, of Columbia Centre for Children¡¯s Environmental Health,
has shown consistent associations between exposures to pollution
and DNA adduct formation on the one hand and adduct formation
and cancer risk on the other203,204.
Perera found two to three times the level of DNA adducts to
polycyclic aromatic hydrocarbons in people in polluted areas and
also found higher levels of adducts in people with lung cancer
than in those without. Mothers exposed to pollution form DNA
adducts but their babies have even higher adduct levels
potentially putting them at increased risk of cancer from birth44.
e) Cancers and
Environmental pollution
Several studies have
already given direct evidence of a link between environmental
pollution and cancer. These include the Long Island Study
showing a link between airborne carcinogens and breast cancer205,206
and the
Upper Cape Study showing that tetrachloroethylene in the water
was associated with elevated rates of several types of cancer207-9.
It is noteworthy that initial investigations were negative in
both these places and it was only demonstrated after detailed
and sophisticated studies by scientists from many fields.
Numerous other studies have shown links between cancer and
chemicals: these include associations between volatile organic
chemicals (VOCs) in the water and increases in leukaemia in New
Jersey210
, increases
in lymphoma in counties in Iowa where drinking water was
contaminated with dieldrin211
, elevated
levels of leukaemia in children at Woburn, Massachusetts
coinciding with a known period of water contamination with
chlorinated solvents212,
a cancer cluster linked to consumption of river water
contaminated by industrial and agricultural chemicals in Bynum,
North Carolina213
and high
rates of non-Hodgkin¡¯s lymphoma from water contamination with
chlorophenols in Finland214
.
f) Spread of cancer and
pollutants
Airborne pollutants not
only affect the chance of contracting cancer but may also
influence the chance of the cancer spreading. Animal studies
showed that inhalation of ambient level nitrogen dioxide, or
polluted urban ambient air, facilitated blood-borne cancer cell
metastasis105.
g) Levels of Carcinogens
in the body
The reality about most
chemicals is that their risks are largely unknown. This is
particularly true of chemicals new to the market. What we do
know is that about 5 to 10% are probable carcinogens. The
International Agency for Cancer Research tested 1000 chemicals
in 1993 and found that 110 were probable carcinogens215.
The National Toxicity Program tested 400 chemicals in 1995 and
found that 5-10% were carcinogenic216.
Only 200 of the 75,000 synthetic chemicals in existence are
regulated as carcinogens whereas, from this data, between 3,000
and 7,500 might be expected to be.
We have even less
knowledge about the carcinogenic potential of combinations of
toxic chemicals but what evidence we do have suggests
combinations may be more dangerous and yet these are what we are
routinely exposed to.
Although the UK figures
are not available we know that 2.26 billion pounds of toxic
chemicals were released in the USA in 1994: about 177 million
pounds of these will have been suspected carcinogens. But what
happens to all these chemicals? The reality is that much of this
chemical pollution ends up inside us. The evidence for this is
as follows:
In a study, a group of
middle aged Americans were found to have 177 organochlorine
residues in their bodies.217,218
This is
likely to be an underestimate as EPA scientists consider that
the fatty tissues of the US general population contain over 700
additional contaminants that have not yet been chemically
characterized219
. A recent study by the Mount Sinai School of
Medicine measured chemicals in the blood and urine of healthy
volunteers and found an average of 52 carcinogens, 62 chemicals
toxic to the brain and nervous system and 55 chemicals
associated with birth defects220.
They point out that these were chemicals that could be measured
and that there were many more that could not, making this again
a considerable underestimate. A study of pollutants in amniotic
fluid found detectable levels of PCBs and pesticides at levels
equivalent to the foetus¡¯s own sex hormones221.
What these studies demonstrate is that what we put out into the
world sooner or later comes back
to us and will be stored
in our bodies, particularly the lipophilic, bioaccumulative
compounds which are particularly damaging. This effect is slow,
insidious and real. To allow carcinogens and other poisonous
substances into our bodies in this way must be to gamble with
our health.
Incinerators emit
carcinogens. Particulates themselves are known to be
carcinogenic, many heavy metals are known or suspected
carcinogens, up to 10% of the chemical pollutants are
carcinogenic and there is abundant evidence that carcinogens are
far more dangerous when combined than when in isolation.
Common sense dictates
that it is reckless to continue to pour more carcinogens into
the air at a time when cancer is steadily increasing. Recent
studies suggest that we already have to cope with 65 carcinogens
in food, 40 carcinogens in water and 60 carcinogens in the air
we breathe222.
They should not be there at all. They should certainly not be
increased. If we seriously want to prevent cancer it is of
paramount importance that we rapidly decrease the levels of all
carcinogens that we are exposed to.
5.2
Neurological Disease
Most toxic compounds are
preferentially stored in fatty tissue and this includes the
brain ¨C making the brain a key target organ for pollutants.
There is now compelling evidence that heavy metals and other
compounds such as PCBs and dioxins cause cognitive defects,
learning problems and behavioural disturbances in children and
these effects occur at levels previously thought to be safe223
. It is
inconceivable that these same pollutants have no impact on adult
brain function. In fact, some organochlorines, especially those
with toxic metabolites and those that dissolve in the cell
membranes are known to kill brain cells.224,225
We note also
the ability of ultrafine particulates to carry pollutants across
the blood-brain barrier65.
If neurones were lost at the undetectable rate of 0.1% annually
this would lead to a major decline in brain function by middle
age226.
Of great concern is the
developing crisis of Alzheimer¡¯s disease which now affects 4.5
million patients in the USA and nearly 700,000227
in the UK.
This is a disease which had never been diagnosed until 1907 and
in the UK had only reached 150 cases by 1948. At the present
rate of increase,
the numbers will
double by 2030. These statistics are alarming but need to be
seen as part of an overall trend of increasing neurological
disease. A recent study has noted substantial increases in
neurological diseases in the last two decades coupled with
earlier onset of these illnesses. Increases were noted in
Alzheimer¡¯s disease, Parkinson¡¯s disease and motor neurone
disease228.
The increase in Alzheimer¡¯s disease was found in almost all
developed countries, and rises varied across countries from 20%
(which was defined as substantial) to 1200%. The paper suggested
environmental factors were likely to be responsible.
It is notable that these
diseases of older people have increased at the same time that
diseases affecting the brain (including ADHD, autism and
learning difficulties) have also shown large increases at the
other end of the age spectrum, to the order of 200-1700%229.
It is very likely that these diseases have aetiological factors
in common.
Heavy metal exposure is
known to correlate with both Parkinson¡¯s disease103,230
and Alzheimer¡¯s disease75,76,98-102.
Both diseases have increased dramatically over the last 30
years. In addition we have already noted that the average
person¡¯s body contains at least 62 chemicals which are toxic to
the brain and nervous system220.
It is crucial to look at every possible way to prevent
Alzheimer¡¯s because of
its huge care costs (US
figures are $60 billion annually) and because of its dire effect
on both patients and carers.
Although multiple factors
are probably involved in its causation, there is evidence of a
link to heavy metal exposure and it is therefore imperative to
reduce our exposure to these toxic metals and other neurotoxic
chemicals by all means possible. To deliberately increase our
exposure to these pollutants, at a time when these diseases are
showing huge increases, shows a worrying lack of foresight.
5.3
Mental Diseases
Many pollutants pass
straight from the nose to the brain where they affect brain
function. Air pollution correlates with inpatient admissions
with organic brain syndrome, schizophrenia, major affective
disorders, neurosis, behavioural disorder of childhood and
adolescence, personality disorder and alcoholism231.
Increases in the total number of psychiatric emergency room
visits and in schizophrenia232
have been
noted on days when air pollution has been high. Depression has
also been linked to inhaled pollutants233,234.
Clearly something very profound occurs when we pollute the air.
5.4
Violence and Crime
An increasing number of
studies, including studies of murderers235,
case-control and correlation studies13,94,236,237
and
prospective studies96,238
have shown
links between violence and heavy metals and these include lead,
cadmium and manganese. The majority of the studies have
investigated lead. Violence and crime have been associated with
both increased body levels of lead and with increased levels of
lead in the air. For instance Denno239
found early
lead exposure was one of the most important predictors of
disciplinary problems from ages 13 to 14, delinquency from ages
7 to 17 and adult criminal offences, from ages 18 to 22.
Stretesky found an association between air lead levels and
murder rates in US counties240.
It is interesting that air lead levels were a much stronger
predictor of both violent and property crime than unemployment,
which has often been considered an important cause for crime241.
The likely mechanism is that these substances alter
neurotransmitters such as dopamine and serotonin and reduce
impulse control.
This growing literature
should serve as a warning about the dangers of allowing heavy
metals to be emitted into the environment. Crime, especially
violent crime, can have a dramatic effect on people¡¯s quality of
life. We need to consider the effect of incinerators, not only
on health, but on education and on quality of life, including
the impact of violence and crime.
6. High
Risk Groups
6.1 The Foetus
The unborn child is the
most vulnerable member of the human population. The foetus is
uniquely susceptible to toxic damage and early exposures can
have life changing consequences. Why is the foetus so
vulnerable? There are two main reasons. Firstly most of these
chemicals are fat soluble. The foetus has virtually no
protective fat stores until very late pregnancy so the chemicals
are stored in the only fatty tissues it has, namely its own
nervous system and particularly the brain. Secondly many
pollutants are actively transported across the placenta from the
mother to the foetus. This occurs with heavy metals which the
body mistakes for essential minerals. This is particularly
critical for mercury where one tenth of women already have body
stores of mercury which can lead to neurodevelopmental problems
in the newborn242.
Other factors that increase foetal susceptibility are higher
rates of cell proliferation, lower immunological competence and
decreased capacity to detoxify carcinogens and repair DNA243.
Safety limits currently
do not take into account this increased risk to the foetus. Only
7% of high volume chemicals have been tested for
neurodevelopmental toxicity244 and
very few pollutants have been tested for teratogenicity.
During a narrow window of
time, in the first 12 weeks in utero, the foetus¡¯s body is
affected by miniscule amounts of hormone measured in parts per
trillion. Tiny amounts of chemicals can upset this delicate
balance. It is now generally accepted that chemicals that are
not toxic to an adult can have devastating effects on the
newborn. Porterfield has shown that small amounts of chemicals
such as dioxins and PCBs, at doses that are not normally
regarded as toxic, can affect thyroid hormones and neurological
development11
. A single
exposure is enough and timing is critical245
. Small
doses of oestrogenic chemicals can alter sexual development of
the brain and the endocrine system246.
It is estimated that 5%
of babies born in the USA have been exposed to sufficient
pollutants to affect neurological development247
. It has
also been shown that exposure to oestrogenic chemicals affects
immunity, reduces the immune response to vaccines, and is
associated with a high incidence of middle ear and recurrent
respiratory infections248
. The amount
of chemical that the baby takes in relates to the total
persistent contaminants that have built up in the mother¡¯s fat
over her lifetime249
. This will
increase in areas around incinerators. Exposure to fine
particulate pollution during pregnancy can have an adverse
effect on the developing foetus and lead to impaired foetal
growth74
.
In July 2005, in a
ground-breaking study250,
researchers at two major laboratories in the USA looked at the
body burden in the foetus. They reported an average of 200
industrial chemicals and pollutants (out of 413 tested) in the
umbilical cord blood of 10 randomly chosen babies. These
included 180 carcinogens, 217 chemicals that are toxic to the
brain and nervous system and 208 that can cause birth defects
and abnormal development in animals. A statement by scientists
and paediatricians said that the report raised issues of
substantial importance to public health, showed up gaping holes
in the government¡¯s safety net and pointed to the need for major
reform to the nation¡¯s laws that aim to protect the public from
chemical exposures.
Two months later,
scientists at the University of Groningen, released the results
of a European study, commissioned by WWF and Greenpeace, on the
foetal body burden. They tested for the presence of 35 chemicals
in the umbilical cord blood of newborns251.
At least five hazardous chemicals were found in all babies and
some had as many as 14 different compounds. The report
questioned the wisdom of allowing the foetus to be exposed to a
complex mixture of persistent, bio-accumulative and bioactive
chemicals at the most critical stage of life.
Incinerators can only
have the effect of increasing the foetal body burden and their
use is therefore a retrograde step for society. It is
particularly important to apply the precautionary principle in
issues that affect the foetus, infant and child.
6.2 The
Breast-fed Infant
It is a major concern
that breast milk, perhaps the greatest gift a mother can give
for the future health of her child, has now become the most
contaminated food on the planet, in terms of persistent organic
pollutants252.
In the USA studies of human breast milk have shown that 90% of
samples contained a disturbing 350 chemicals. This was higher in
industrialised areas showing that inhalation of these toxic
substances is an important factor253
. The dose taken in by a breast-feeding baby is 50
times higher than that taken in by an adult254
.
The incinerator would add
to the total load of chemicals in the mother¡¯s fat and those
toxins accumulated over a lifetime by the mother will then be
transferred to the tiny body of her baby through her milk. Six
months of breast feeding will transfer 20% of the mother¡¯s
lifetime accumulation of organochlorines to the child255.
From 1979 one in four samples of breast milk have been found to
be over the legal limit set for PCBs in commercial feeds249
and these
are known to impair intellectual development-256-8.
Contamination with persistent organic pollutants (POPs) in
breast milk in animals has consistently shown structural,
behavioural and functional problems in their offspring259.
For instance, in monkeys it has shown that it decreases their
ability to learn260-2.
Polybrominated diphenyl ethers (PBDEs) are toxic chemicals which
have been doubling in breast milk every five years, and have
also been rapidly increasing in the waste fed to incinerators as
they are now present in many common electrical and electronic
goods. PBDEs cause cancer, birth defects, thyroid dysfunction
and immune suppression.263,264
It is truly
tragic that one of the few ways of removing these contaminants
from the mother¡¯s body is by breast-feeding.
6.3
Children
Toxic and carcinogenic
exposures in early life, including prenatal exposures, are more
likely to lead to cancer than similar exposures later265-7
. At the
First International Scientific Conference of Childhood
Leukaemia, held in September 2004, Professor Alan Preece
suggested that pollutants crossing the placenta, were damaging
the immune system and could be linked with soaring rates of
leukaemia, which were being initiated in utero. This theme was
expanded by Professor George Knox in his recent study which
found that children born in ¡°pollution hotspots¡± were two to
four times more likely to die from childhood cancer. The
¡°hotspots¡± included sites of industrial combustion, and sites
with higher levels of particulates, VOCs, nitrogen dioxides,
dioxins and benz(a)pyrenes ¨C in other words just what would be
found around incinerators. He said that, in most cases, the
mother had inhaled these toxic substances and they were then
passed on to the foetus through the placenta268.
This is supported by animal studies which have already confirmed
that cancer in young can be initiated by giving carcinogens
before conception (to the mother), in utero or directly to the
neonate269,270.
Developing systems are
very delicate and in many instances are not able to repair
damage done by environmental toxicants271.
In one study there was an age-related difference in
neurotoxicity for all but two of 31 substances tested; these
included heavy metals, pesticides and other chemicals272
. Children
are not just a vulnerable group but the current inhabitants of a
developmental stage through which all future generations must
pass. This fact is recognised in the passage of the Food Quality
Protection Act in the USA. It requires that pesticide standards
are based primarily on health considerations and that standards
are set at levels which will protect the health of children and
infants.
Developmental disorders
including autism and attention deficit syndrome are widespread
and affect 3-8% of children. The US National Academy of Sciences
concluded in July 2000 that 3% of all developmental disorders
were a direct consequence of toxic environmental exposures and
another 25% are the result of interactions between toxic
exposures and individual susceptibility. The causes included
lead, mercury, PCBs, certain pesticides and other environmental
neurotoxicants273, substances that are all discharged from incinerators
Recently associations
have been reported in case control studies between the body
burden of mercury and the risk of autism274.
In other studies in Texas, associations have been found between
the amount of mercury discharged into the air and water by
chemical plants and the local incidence of autism80
and an
inverse relationship between the distances of schools from the
plants discharging mercury and autism in their youngest pupils 4
years later; this is the lag expected from the fact that the
greatest sensitivity to neurotoxicity is seen before birth and
in neonates81.
This suggests that mercury could be responsible but the
contribution of other neurotoxins was not excluded.
The study of the Sint
Niklaas incinerator found a multitude of problems in children,
including learning defects, hyperactivity, autism, mental
retardation and allergies95
and this is
exactly what would be anticipated from the above and research
already done on the health effects of heavy metals, PCBs and
dioxins on children. Animal studies show similarities, with a
recent study demonstrating autistic-like behavioural changes in
rats whose mothers has been exposed to PCBs whilst pregnant;
they had developed abnormal plasticity in the cortex of the
brain275.
We need also to consider
subclinical toxicity. The pioneering work of Herbert Needleman
showed that lead could cause decreases in intelligence and
alteration of behaviour in the absence of clinically visible
signs of toxicity92.
This has also been shown to be the case with PCBs276
and methyl
mercury79.
These effects are all the more likely when children are exposed
to multiple pollutants, notably the heavy metals, which will be
found in the cocktail of chemicals released by incinerators.
Although this has only
minor implications for an individual it can have major
implications for a population. For instance a 5 point drop of IQ
in the population reduces by 50% the number of gifted children
(IQ above 120) and increases by 50% the number with borderline
IQ (below 80)277.
This can have profound consequences for a society, especially if
the drop in IQ is accompanied by behavioural changes.
6.4 The
Chemically Sensitive
In the book, Chemical
Exposures, Low Levels and High Stakes by Professors Ashford and
Miller151,
the authors noted that a proportion of the population react to
chemicals and pollutants at several orders of magnitude below
that normally thought to be toxic. For example research has
discovered individuals who react to levels of toxins previously
considered to be safe. Two examples are benzene278
and lead93.
It has been demonstrated that there is a tenfold difference
between different individuals in the metabolism of the
carcinogenic PAH benz(a)pyrene279
.
Ashford and Miller also
noted that studies in both toxicology and epidemiology have
recognised that chemicals are harmful at lower and lower doses
and that an increasing number of people are having problems. A
significant percentage of the population have been found to
react this way (15 to 30% in several surveys with 5% having
daily symptoms).151
Research
has shown 150 to 450 fold variability in response to airborne
particles280.
Friedman has stated that environmental regulation requires the
protection of these sensitive individuals281.
This highlights the dangers of incinerators which emit a
multitude of chemical compounds. Chemical sensitivity is
typically triggered by an acute exposure after which symptoms
start to occur at very low levels of exposure151
. Faults are all too common with modern
incinerators leading to discharges of pollutants at levels that
endanger health ¨C giving
a very real risk of
long-term sensitisation. Certain susceptible individuals will be
highly affected by these pollutants and these effects will be
difficult to anticipate. In addition, people affected this way
are extremely difficult to treat.
7. Past
Mistakes and The Precautionary Principle
7.1 The
Precautionary Principle
The Precautionary
Principle has now been introduced into national and
international law including that of the European Union282.
This principle involves acting in the face of uncertain
knowledge about risks from environmental exposures. This means
public health measures should be taken in response to limited,
but plausible and credible, evidence of likely and substantial
harm283.
It is summed up in the 1998 Wingspread statement: ¡°When an
activity raises threats of harm to human health or the
environment, precautionary measures should be taken even if some
cause and effect relationships are not fully established
scientifically. In this context, the proponent of the activity,
rather than the public, should bear the burden of proof.¡± In the
case of incinerators a recent review of health effects found two
thirds of studies showed a positive exposure-disease association
with cancer (mortality, incidence and prevalence)284
and some
studies pointed to a positive association with congenital
malformations. In addition without exact knowledge of what
pollutants are produced by incinerators, their quantities, their
environmental fate or their health effects, it is impossible to
assure their safety. It is absolutely clear from this and from
the evidence presented here that building municipal waste
incinerators violates the Precautionary Principle and perhaps
European Law.
7.2 Learning from Past Mistakes
Time and time again it
has been found that what we did not know about chemicals proved
to be far more important than what we did know. As an
incinerator generates hundreds of chemicals, including new
compounds, we can expect many unpleasant future surprises. Here
are a few examples from the past:
Chlorofluorocarbons (CFCs) These chemicals were touted as the
safest chemicals ever invented when first synthesised in 1928.
Thomas Midgeley received the highest award from the chemical
industry for his discovery. After 40 years on the market
suspicion fell on them. They were producing holes in the ozone
layer exceeding the worst case scenario predicted by scientists.
Polychlorinated biphenyls (PCBs) These chemicals were introduced
in 1929. Toxicity tests at the time showed no hazardous effects.
They were on the market for 36 years before questions arose. By
that time they were in the body fat of every living creature in
the planet and evidence began to emerge of their endocrine
disrupting effects.
• Pesticides Early pesticides included
arsenical compounds but these killed farmers as well as pests.
They were replaced by DDT. Paul Muller was awarded the Nobel
Prize for this discovery as it was considered a milestone in
human progress. But DDT brought death in a different way and it
was another two decades before it was banned. Less persistent
pesticides then came onto
the market but they had yet another
unanticipated problem ¨C endocrine disruption.
Tributyl tin (TBT) In the early seventies scientists noted
irreversible damage was occurring to the reproductive system of
fish and shellfish, especially clams, shrimps, oysters, Dover
Sole and salmon. It was 11 years before the cause was found and
it was found to be due to be tributyl tin, a chemical added to
paint to stop barnacles growing. Incredibly the damage was
occurring at a concentration of just five parts per trillion. By
the end of the eighties more than one hundred species of fish
were known to have been harmed.
This pattern of
unanticipated disasters and long latent intervals before their
discovery characterises the history of many toxic chemicals and
warrants great caution in the use of new compounds. Animal
studies almost never warn us of the uniquely human neurotoxic
effects on behaviour, language and thinking. In the case of
lead, mercury and PCBs the levels of exposure needed for these
effects to occur have been overestimated by a factor of 100 to
10,000285.
To quote Grandjean283
¡°Past
experiences show the costly consequences of disregarding early
warnings about environmental hazards. Today the need for
applying the Precautionary Principle is even greater than before¡±
8.
Alternative Waste Technologies
An ideal waste strategy
would produce no toxic emissions, no toxic by-products, no
residues that need landfilling (zero waste), good recovery of
materials and be capable of dealing with all types of waste.
This might seem a tall order but with a combination of
approaches, it is now possible to come quite close to this goal.
Once this aim is made
clear then incineration becomes a poor choice. The potentially
dangerous emissions to air, the high volume of ash that needs
landfilling and the very toxic nature of the fly ash would rule
it out. Similarly pyrolysis produces toxic by-products and is
best avoided.
The most important
component of an integrated strategy must be some form of
separation and recycling. We must also look at methods of
dealing with residual waste that produce no ash, such as
Mechanical-Biological Treatment, Anaerobic Digestion and
Advanced Thermal Technologies.
8.1 Recycling, Re-use and Composting
Both government guidance
and the European Union Waste Hierarchy make it clear that
recycling and re-use are the highest priorities in waste
management and that this should take precedence over
incineration and landfill. This hierarchy has been described as
reduction, reuse, recovery and disposal. Many fine words have
been spoken, but the reality is, that without incentives to
support recycling, both the increase in landfill tax and the
European Directives to reduce the amount of biodegradable waste
going to landfill are driving waste management towards its
lowest priorities, principally incineration. This has now
becoming the easiest option for local authorities. Waste policy
is veering away from its stated highest priorities with their
low environmental impact towards the least sustainable options
which have the highest environmental impact.
The net effect of
this is that incineration, with its large appetite for high
calorific recyclable materials, is now in direct competition
with recycling and has become an obstacle to sound waste policy.
This is an inversion of the Waste Hierarchy and removes the
motivation to re-use and recycle. One way forward would be to
use the strategy already employed by several countries such as
Sweden and the Netherlands, where waste cannot be delivered to
landfill or incinerators without having undergone separation or
treatment. In effect, this stops the sending of recyclable items
to landfill and incineration.
About 46% of
municipal waste consists of paper, cardboard, fabrics, glass and
metals ¨C all of which could be recycled. Metals are becoming
more valuable and are already being mined in dumps in parts of
the world. About 32% consists of garden and food waste which
could be composted. Several commentators have emphasised that,
for recycling programs to work successfully, it is important to
have systems in place that are easy to use. Doorstep collections
of organic waste are especially important. Another 13% of
waste is plastics which are discussed below.
The UK presently recycles
about 23% of its waste. Many other countries recycle a far
higher proportion of their waste with Norway, Austria and
Holland achieving over 40% and Switzerland over 50%. St
Edmundsbury in the UK has reached 50%. Below is a table showing
that many areas have achieved high rates of municipal waste
diversion (recycling, re-use and composting) and this
demonstrates that diversion rates of 50-70% are realistic
targets.
Locality Diversion Rate (percent)
Zabbaleen-served
areas of Cairo, Egypt 85 Opotiki District, New Zealand 85 Gazzo
(Padua), Italy 81 Trenton, Ontario 75 Bellusco (Milan), Italy 73
Netherlands 72 Northumberland County, Ontario, Canada 69 Sidney,
Ontario 69 East Prince, Prince Edward Island, Canada 66
Boothbay, Maine, U.SA 66 Halifax, Canada 65 Chatham, New Jersey,
U.SA 65 Falls Church, Virginia, U.SA 65 Galway, Ireland 63
Belleville, Ontario 63 Canberra, Australia 61 Bellevue,
Washington, U.SA 60 Guelph, Ontario, Canada 58 Gisbome District,
New Zealand 57 Cfifton, New Jersey, U.SA 56 Loveland, Colorado,
U.SA 56 Denma~ 54 Bergen County, New Jersey, U.SA 54 Worcester,
Massachusetts, U.SA 54 Leverett, Massachusetts, U.S.A. 53 Ann
Arbor, Michigan, U.S.A. 52 Crockett, Texas, U.S.A. 52 Dover, New
Hampshire, U.SA 52 Kaikoura District, New Zealand 52 Switzerland
50 Nova Scotia, Canada 50 Portland, Oregon, U.SA 50 Madison,
Wisconsin, U.SA 50 Fitchburg, Wisconsin, U.SA 50
Visalia, California, U.SA 50
8.2
Producing Less Waste
However efficiently we
recycle, re-use and compost, these cannot solve the waste
problem without another vital step; namely producing less waste
in the first place. To emphasise this point, the amount of
municipal and business waste in the UK is still growing286 in
spite of higher rates of recycling.
Various solutions to this
are gaining popularity. One is Extended Product Responsibility
(EPR) where firms take physical and financial responsibility for
products even after they are sold, collecting their products and
packaging after use. This encourages firms not to produce
non-recyclable and non re-usable products. It has been applied
to packaging, tyres, and electronics. EPR needs to be extended
but where this is not practical, such as where products are
hazardous or non-recyclable, then a product ban might be
appropriate. A further solution would be to tax non-recyclable
items to discourage their production.
There is a further aside
to this issue which has yet to be addressed by governments. The
developed world is producing, and disposing of, increasing
amounts of goods of all kinds, including large amounts of
synthetic materials unknown a century ago. The rest of the world
is not unnaturally wanting to share the prosperity, but we are
rapidly reaching a point where continuing even at the present
level will become impossible because we are running out of both
energy and of essential materials, particularly oil.
We have finite sources of
oil from which so many materials are made. We are probably close
to reaching peak production and this resource will diminish over
the next few decades at a time when demand is increasing
internationally.
Natural gas will
peak a decade or two later and then diminish. The only other two
major sources of energy would be coal and nuclear power. Nuclear
energy, even in the unlikely event that a safe way could be
found to deal with the radioactive waste, would last between 8
287 and 17
years
288 if it
was supplying 20-25% of the world¡¯s energy because uranium is
also a finite resource. Burning coal could cause a disastrous
increase in greenhouse gases. Again it could not make up for the
shortage of energy and would last less than a century289.
At present it appears that genuinely renewable sources of energy
could provide, at the very most, 40% of our present energy
requirements289
. (In
reality it is likely to be much less and it has been estimated
renewable sources will produce 4¾ % of total energy and 22% of
electricity by 2020 in the UK).290
Different
experts will have their own opinions on all of these figures,
but one thing is certain: -we are running out of energy. We can
anticipate a 20% reduction in energy from all sources in 40
years and a 40% reduction in 60 years289.
Long before this happens the price of energy and of goods made
from oil will soar.
There is only one
possible solution to this problem in the long term and that is
to reduce our use of energy which means reducing our production
and consumption of goods, and preserving our resources,
including the valuable components in our waste.
8.3 Zero
Waste
Zero waste, initially
introduced in New Zealand has been taken up successfully by
other regions and cities such as San Francisco, The Philippines,
Flanders, Canberra, Bath and North East Somerset. In the UK, 71%
of councils have committed to zero waste as part of their plan.
This means working towards a goal of producing zero waste and
avoiding disposal in landfill and incineration. The policy of
the European Union is already on the path towards zero waste.
Zero waste and incineration are mutually incompatible.
There are some
difficulties with zero waste. One is that not all materials can
be recycled and there will be some residual waste, notably
plastics. Other goods contain mixed ingredients (for example
envelopes containing plastic windows) and cannot easily be
recycled. These could be taxed or banned. Some areas such as
Flanders in Belgium have recognised this problem and have
innovatively set a target for residual waste, currently 150kg
per capita per year (UK: 400kg per capita per year). This is a
useful idea and the policy sends out a strong signal to
manufacturers to produce recyclable products.
8.4 The
Problem of Plastics
A large amount of our
waste is plastics and related materials such as PVC. Presently
only two types of plastics can be recycled. The first key
question is what will we do with these non-recyclable plastics?
The second key question is how do we make chlorinated plastics
safe for the future, taking into account that their highly
persistent and toxic nature? The third key question is can we
use plastics as a future resource? These are not small issues.
For example, we use 500 billion carrier bags each year. They are
used for an average of 20 minutes and are virtually
indestructible, lasting for centuries. Many end up as
microscopic tilth in the oceans. They then find their way into
the food chain via lugworms and barnacles.
Incineration is a poor
answer to these issues as many plastics are organochlorines and
form toxic products, notably dioxins, when burnt. In addition an
important resource is wasted. We use about 3-4% of our oil to
produce these plastics and it makes no sense to simply burn
them. The best solution would be to stop making chlorinated
plastics in the first place in view of their persistence and
toxicity. Instead we could make biodegradable plastics (but note
these will break down to form the greenhouse gas methane).
Another answer is plasma gasification. Plasma gasification,
unlike incineration can convert chlorine-based plastics back to
their original starting material, namely salt and water and
synthesis gas (carbon monoxide and hydrogen). Further procedures
can be used to convert synthesis gases into highly useful
materials: fuels such as ethanol and Fischer-Tropsch diesel (a
cleaner form of diesel) or ethylene to produce more plastics. It
other words it could be used to both detoxify and reform
plastics.
8.5
Anaerobic Digestion of Organic Matter
The problems of landfills
are threefold. One is the production of greenhouse gases,
principally methane. The second is the seeping of chemicals from
landfill sites into aquifers. The third is lack of space. The
former is the most urgent problem to solve. The methane is
produced by organic waste, in other words rotting organic
matter, but not by plastics (except bio-degradable ones) or
metals. At present the methane is burnt in a flare tower or gas
generator plant at the landfill site. However this is very
inefficient. A far better option is to remove the paper,
plastics and metals and allow the waste to break down in an
anaerobic digester. The methane can then be burnt in a combined
heat and power plant to produce electricity and heat. As this
occurs in a sealed unit the environmental impact is much less
than a landfill gas power plant. If this type of facility was
used for the majority of agricultural waste and sewage then it
could supply 3% of the UK¡¯s electricity and would also displace
carbon emissions284.
8.6
Mechanical Biological Treatment (MBT)
This treatment is used
extensively in Germany, Italy and Austria, has been in use for
over 10 years and is due to be introduced into the UK. The
process involves a mechanical stage in which the waste is
chopped up into fragments and then separated by being put
through screens of various sizes and past magnets. This process
will separate the waste into fractions which can be used for
different purposes. For instance metals, minerals and hard
plastics can then be recycled. Paper, textiles and timber can
also be recovered. Organic matter can then be broken down by
composting
¨C this is the biological
treatment. This can be achieved by exposing the waste to
atmospheric oxygen or it can be broken down in the absence of
oxygen (anaerobic digestion). The remaining rubbish can then be
landfilled. This process is virtually pollution-free unless the
remaining pellets are burnt with all the risks this entails.
With MBT most of the original goals are being met. It fails on
two counts only. Firstly there is some residue that needs
landfilling ¨C this is a minor point but the second is more
serious: MBT cannot cope with all types of waste as it is not
suitable for hazardous waste. This is important as the amount of
hazardous waste is likely to increase. So MBT needs to be part
of a system.
Note that residues from
MBT have had the organic matter removed, so they will not
produce the problematic greenhouse gases. For this reason we
believe it is wrong that it incurs the full landfill tax as
happens at present.
8.7
Advanced Thermal Technologies (ATT) and Plasma Gasification
In contrast with
non-thermal methods, any thermal method of dealing with waste
carries an inherent risk of causing fatalities. Because of this
thermal methods should only be used for residual waste after
full separation of recyclables has taken place. If thermal
methods are used, these should always be the safest ones
available. In effect this means plasma gasification or
gasification using the Thermoselect process. Japan has more
experience of incineration than any other country and has
started to use plasma gasification as a safer alternative to
incineration. Plasma gasification is also in use in Canada.
Plasma gasification
achieves the final objective by disposing of the residual waste
after separation and recycling and other separating technologies
such as mechanical-biological treatment. It can deal safely with
the most hazardous types of waste and can produce up to three
times as much energy as incineration.
Gasification has been
employed by the natural gas industry for over 80 years but has
not, so far, been used extensively for dealing with waste,
although such plants are now in operation in Italy, Switzerland,
Germany and Japan. Gasification produces high temperatures and
can thermally decompose complex and hazardous organic molecules
into gases and benign simple substances. Plasma refers to the
gas when it has become ionized and this happens when an electric
current is passed through the gas. A very important distinction
from incineration is that it does not produce ash. The gas
cleaning process can convert many contaminants into
environmentally benign and useful by-products. The abatement
equipment of incinerators and gasification units is very
different. If the abatement equipment in an incinerator fails,
as is all too common, people downwind from the installation will
be subjected to dangerous pollution. If the abatement equipment
in a gasification unit fails it will cause serious damage to the
plant itself ¨C so the plant has to be built to a much higher
quality.
In a plasma gasification
plant, the residual toxic substances including metals become
encapsulated in silicate which is like being encased in stone.
The plant will remove the toxic and persistent compounds from
plastics and other chemicals and reform them. A good quality
plasma gasification unit will not produce any adverse residues
or by-products, only synthesis gas, silica, sulphur and salt.
Synthesis gas is a useful by-product which can be used as a
fuel; ©¤ a major financial advantage which allows the capital
costs of the unit to be paid within a 7 year period. Although it
is a relatively expensive process, it is far cheaper than
incineration once the health costs are taken into account (see
section 9.1). Note also that it would not incur costs under the
European Union Emissions Trading Scheme, potentially saving
millions of pounds annually. A recent review of plasma
gasification considered it to be a promising alternative to
older technologies and that the present climate favoured the
adoption of advanced technologies for waste treatment291.
If it is combined with MBT and recycling, then only a small unit
would be needed.
It is important to
realise that gasification systems can vary in quality and
therefore safety. It is crucial that there is a good gas
cleaning system which goes through 7 or 8 stages. It is also
essential that temperatures of 1500 C are achieved -enough to
break down organochlorines and convert them back to their
original safe form, salt and water.
Organochlorines are
probably the most problematical group of chemicals on the planet
so a real benefit of this technology is that this process
reverses of the chlor-alkali process that produces
organochlorines in the first place
8.8
Greenhouse Gases
Incineration has been
sold as a source of green energy and even more bizarrely as a
source of renewable energy. This is far from the truth. In a
recent report, incineration was found to be second only to coal
fired power stations as a producer of greenhouse gases.
However this is only part
of the problem. With incineration there are two releases of
greenhouse gases ¨C once when the material is burnt and another
when it is re-manufactured. Once we add to the equation the
carbon and other greenhouse gases produced when these products
are remade, as opposed to being recycled, then it becomes
obvious how wrong it would be to regard incineration as a source
of green energy. In fact, between two to five times more energy
goes into remaking products than the energy recovered from
incinerating them292.
Recycling is far more
energy efficient than incineration and has greater carbon
benefits. With the high rates of methane capture assumed by
DEFRA, landfill has similar CO2
emissions to incinerators.
All incinerators should
be routinely assessed for their effect on global warming.
9. The
Costs of Incineration
9.1
Direct and Indirect Costs
Incineration has been
reported to be more expensive than alternative waste strategies
even when health costs are not considered. A recent document
from the Scottish Environmental Protection Agency estimated that
the disposal costs to process a tonne of waste would be £50-80
for incineration compared to £30-40 for aerobic digestion. These
costs include high transportation costs and the equivalent
figure for England would be £20-30 lower per tonne (making it
approx £25-55 per tonne for incineration and £5 per tonne for
aerobic digestion). The capital costs of aerobic digestion would
be about half that of incineration293
.
It is likely that the
waste industry will come under the European Union Emission
Trading Scheme (ETS) within the next 10 years, in an effort to
offset carbon emissions. This would greatly increase the cost of
incineration. Two tonnes of carbon are produced for every tonne
of waste burned. The present cost per tonne of carbon, under
ETS, will be around €20 and this cost will gradually increase,
which would add approximately £30 to each tonne of waste burned.
Councils will then be committed to paying an escalating cost,
starting at £12 million per annum (for a 400,000 tonne a year
incinerator) for up to 25 years*. It is a travesty that this
cost should fall on local taxpayers subjected to this pollution
which they did not ask for and which could be putting their own
health at risk. We believe that many councils may be unaware of
the implications of Emissions Trading Scheme.
Another consideration
councils may be unaware of is the financial impact of Renewable
Obligation Certificates. Basically some waste disposal systems
will attract these certificates, whilst others will not. The
systems that attract ROC credits could produce very significant
increases in income. These would be worth millions of pounds per
annum for the waste companies operating such plants and for
council taxpayers in areas where waste companies operate such
equipment on their behalf.
Incinerators generally
attract no ROC payments. An exception to this is a CHP (combined
heat and power) incinerator which attracts a payment of 1 ROC,
or a fraction of an ROC, per megawatt hour of power generated
**. Plasma gasification and anaerobic digestion attract a
payment of 2 ROCs, or associated fraction, per megawatt watt
hour of power generated. These technologies are not only far
safer but this payment also makes them a much more attractive
financial proposition.
The implication of this
is that a 200,000 tonne per year incinerator would attract no
payment but a 200,000 tonne per year plasma gasification unit
would attract a payment of £4.9 million per annum ***. This
would allow the waste company to offer a substantial reduction
in their charge to the council for each tonne of waste received.
This would, in turn, lead to large savings for both council
taxpayers3.
However, calculation of
the total costs of different methods of getting rid of waste
must not only include the set-up and running costs but also the
environmental, human and health costs. In the case of
incineration, human and health costs are substantial but tend to
be overlooked because they come out of another budget. However
the health costs will have to be paid for and must be included
in the equation. Dealing with the ash produced by incinerators
represents another major cost to society, which again will come
out of someone else¡¯s budget. These are not small costs and to
give some idea of the magnitude of the costs involved, it was
estimated that in 1992 the bill for remediating all the
contaminated waste sites in the USA was $750 billion294
.
*
Although
these charges will be directed at the waste producer, contract
clauses protecting them will ensure these high costs are passed
on.
** ROC
payments related to renewable energy generated by waste
facilities are based on the percentage of feedstock that can be
classed as renewable. Waste is not a wholly renewable substance
and is deemed by Ofgem to contain 50% renewable content.
Therefore, only half a megawatt of renewable electricity will be
generated when one megawatt overall is generated. As a
consequence of this, the megawatt generated will only attract
half an ROC.
*** a
200,000 tonne per annum plasma gasification unit would burn 24
tonnes per hour producing 14 megawatts per hour or 122,640
megawatt hours per annum. It is assumed that 50% of this fuel is
renewable and hence there will be a rebate of 50% on the 122,640
megawatts of electricity produced (2 ROCs per MWh x 0.5). Each
megawatt would attract a payment of approximately £40. This
amounts to a saving of £4.9 million pounds per annum.
9.2
Health Costs of Incineration
The health costs of
incineration are huge. A 1996 report by the European Commission
suggested that for every tonne of waste burnt there would be
between £21 and £126 of health and environmental damage, meaning
that a 400,000 tonnes per year incinerator would cost the
tax-payer between £9,000,000 and £57,000,000 per year295:
this figure was based on earlier data when emissions to air were
somewhat higher so now these costs would be expected to be less.
(However note the corresponding increase in costs that is now
needed to make fly ash safe. The better the pollution control
the more toxic the residues will be and the more expensive they
will be to deal with.)
Studies that have tried
to estimate the combination of all these costs of incineration
have come up with astonishingly high figures. DEFRA¡¯s report in
2004 found that the health costs from PM10
particulates from
incinerators alone, using a central to high estimate, would be
£39,245 per tonne of particulates emitted (NB not per tonne of
waste burnt)296.
A 400,000 tonne per year incinerator would produce about
24,000kg (24 tonnes) of particulates per year and the DEFRA
estimate of health costs would be £941,000 per annum.
However DEFRA looked at
13 studies of PM2.5
and PM10
particulates and
noted that the health costs ranged from £2,000 -£300,000 per
tonne for PM2.5s and £1,800 -
£226,700 for PM10s.
These estimates were based on modelling data which for reasons
described in section 12 are likely to underestimate particulate
emissions. In particular they do not take into account recent
data demonstrating high levels of pollutants emitted during
start-up and shut-down. It is therefore reasonable to assume
that the actual health costs would be at the higher end of the
range, with a cost of £226,700 per tonne for PM10s
and £300,000 per tonne for PM2.5s
giving a total health cost per annum for particulates alone of
£6.5 million ****. To give a realistic estimate of the health
costs of incineration, the additional costs from the other
pollutants must be added to this.
In a review of health
costs of incineration Eshet297
noted the
complexity and difficulty of these calculations, with estimates
varying between $1.3 and $171 per tonne of waste burnt. A study
of British incinerators estimated the cost to be between $2.42
and $13.16 per tonne of waste burnt298.
Most of these studies do not take into account the cost of ash,
the cost of clean-up of accidents or water contamination or the
more subtle health effects such as behavioural changes,
reduction in IQ, reproductive and hormonal effects which have
become apparent in recent years with many pollutants such as
lead and organochlorines. For this reason it is likely the costs
are considerably higher than estimated. Based on the findings of
all these studies we can estimate that a 400,000 tonne a year
incinerator will cause millions of pounds worth of health damage
annually. These large health costs alone clearly demonstrate
that incinerators make a poor choice for waste management. When
a single incinerator can generate health costs of many millions
of pounds every year, according to the government¡¯s own data, it
is absurd to argue that incinerators are safe.
It is hard to see any
justification for these huge health costs when other methods
such as mechanical biological treatment (MBT), aerobic digestion
and plasma gasification with low environmental and health costs
(see section 8) are available. These methods have not being
given sufficient consideration in the UK. MBT is relatively
cheap but plasma gasification is more expensive to install.
However, if the health costs are taken into account plasma
gasification is very much cheaper than incineration. It makes no
logical sense to use a method of waste disposal that has a total
cost far in excess of other methods. And we must ask is it
morally acceptable to knowingly incur such high health costs.
****
This calculation is as follows. The Quality of Urban Air Review
Group has estimated that the PM2.5
fraction of total particulates is between 28% and 100%. Leaving
aside the likelihood that the PM2.5
fraction is higher from incinerator emissions an average figure
of 60% PM2..5s
would be likely. This calculation therefore estimates that a
400,000 tonne incinerator would produce 24 tonnes of
particulates, that 60% would be PM2.5
particulates at a cost of £4.32 million per annum and 40% would be
at the lower cost for other PM10s
costing £2.18 million per annum. The total cost in health damage
from particulates would therefore be £6.5 million per annum.
9.3
Financial Gains from Reducing Pollution
The EC Okopol report of
1999299
calculated
that every pound spent on pollution abatement saved £6 in health
care costs and £4 in social security costs. A report from the US
Environmental Protection Agency also reckoned that every dollar
spent on abatement saved 10 dollars in health costs.
In addition, a White
House study by the Office of Management and Budget in 2003
concluded that enforcing clean air regulations led to reductions
in hospitalisations, emergency room visits, premature deaths and
lost workdays which led to a saving of between $120 and $193
billion between October 1992 and September 2002. This is an
underestimate as it did not look at other health savings such as
prescription costs and primary care costs. Few other measures
today would give so dramatic a health benefit and such a large
saving in health costs300
.
9.4
Other Studies of the Health Costs of Pollution
Recent studies have drawn
attention to the huge unanticipated costs to society of
pollution from other sources. The International Joint
Commission¡¯s Science Advisory Board, the Workgroup on Ecosystem
Health (SAB-WGEH) looked at a series of health problems where
there was hard evidence for environmental causation. Reasoned
arguments suggested that the contribution made by toxic
substances to these health problems was between 10 and 50%. Four
health problems which they considered concern us here, because
they involve pollutants similar to those released from
incinerators. These are neurodevelopmental defects,
hypothyroidism, loss of 5 IQ points and Parkinson¡¯s disease. The
cumulative costs in the USA for these disorders alone were
considered to be between $370 and $520 billion per year. Even
using the lowest estimate of environmental contribution (10%),
the costs due to pollutants was $40 billion dollars annually301.
The WWF investigated
three conditions ©¤ mental retardation, cerebral palsy and autism
©¤ to assess the impact of chemical pollution, and calculated the
cost of toxic chemicals on children¡¯s brain development to be
approximately £1 billion annually302.
10.
Other Considerations of Importance
10.1 The
Problem of Ash
The incineration of waste
produces a large amount of ash, amounting to 30% of the weight
of the original waste; 40-50% of the volume of compacted waste.
This is important as landfill sites are becoming less and less
available so there is an urgent need for a workable alternative.
It is clear that incineration will not solve the landfill
problem since it can only reduce the bulk by just under half.
Little thought has been given to this and incinerator operators
are still being given 20 to 30 year contracts creating problems
for the future.
Incinerators produce two
types of ash, bottom ash and fly ash, sometimes called air
pollution control (APC) residues. The latter is highly toxic and
listed as an absolute hazardous substance in the European Waste
Catalogue. It has high concentration of heavy metals and
dioxins. Many substances such as metals have little toxicity
before incineration but become hazardous once converted to
particulates or fine particles in the ash. In fact, the
combination of pollutants in the fly ash can amplify the
toxicity. Using a biological test, researchers found that the
toxicity in fly ash was five times greater than could be
accounted for by the content of dioxins, furans and PCBs303
.
There is a basic problem
with modern incinerators. The less air pollution produced, the
more toxic the ash. Early incinerators emitted large volumes of
dioxins. These emissions have been significantly reduced, but at
the cost of a corresponding increase in the fly ash, with
similar increases in heavy metals and other toxic chemicals. An
incinerator burning 400,000 tonnes of waste annually for its 25
years of operation would produce approximately half a million
tonnes of highly toxic fly ash3.
Apart from vitrification, no adequate method of disposing of fly
ash has been found. The EU Commission have stated that leaching
from landfill sites may be one of the most important sources of
dioxins in the future. Heavy metals are known to have high
leachability. The US Environmental Protection Agency considers
that all landfills eventually leach through their liners. As
most of these pollutants are persistent, probably lasting for
centuries, they will sooner or later threaten the water table
and aquifers where their removal would be near impossible.
Allowing this to take place is an abdication of our
responsibility to future generations.
In spite of the massive
health risks associated with fly ash it is poorly regulated. At
Byker, near Newcastle-upon-Tyne, 2000 tonnes of fly ash laden
with dioxins was spread over allotments, bridle paths and
footpaths for six years between 1994 and 2000. This cavalier
approach to managing toxic waste appears to have changed little.
In January 2008, a recently permitted hazardous waste site at
Padeswood (for storing fly ash from a cement kiln) was flooded.
Fortunately no hazardous waste had been stored at the time
otherwise it would have carried the toxic waste into brooks and
thence into the River Alyn from where drinking water is
extracted.
Workers are often exposed
to this ash without protective gear. Even today this material
has been foolishly used for construction purposes ignoring its
toxic properties and the potential for the release of pollutants
during use and from ordinary wear and tear.
Fly ash needs to be
transported away from the incinerator and this can involve
lengthy journeys. These represent an important hazard. An
accident could potentially make an area uninhabitable, as
happened at Times Beach, Missouri, due to dioxin-contaminated
oil. These potential costs have yet to be factored into the cost
calculations of incinerators.
Bottom ash is a less
severe hazard, but still contains significant quantities of
dioxins, organohalogens and heavy metals. It is extraordinary
that whereas regulations have tightened in recent years to
reduce dioxin emissions to air, bottom ash, which contains 20
times more dioxin, is unregulated and bizarrely is regarded as
inert waste. This misclassification had allowed it to be charged
at the lowest rate at landfill sites. We believe this is wrong:
it is not inert and should not be classified as such. It should
be charged at a rate that is in keeping with its toxicity.
The Stockholm Convention
makes it clear that dioxins and furans should be destroyed,
which currently means using vitrification. In Japan, this is
done responsibly and much of the fly ash is now treated by
plasma gasification but this essential safety step has been
neglected in the UK. Because of the toxicity of bottom and fly
ash there should be a full assessment of the cost of a clean-up
operation for both water and land contamination. Environmental
clean-up costs should be shown as part of the cost of
incineration, and, when relevant, of other waste disposal
strategies.
10.2
Radioactivity
a) Associated with
Incinerators
Over thirty sites in the
UK incinerate radioactive waste. Most countries consider this
too hazardous.
The majority of
radioactive waste incinerated in the UK is alpha or beta
emitting radiation. These types of radiation are not very
dangerous outside the human body due to their short range
(within tissues this is millimetres for alpha particles and
centimetres with beta particles), although beta radiation can
penetrate the skin. Once incinerated this relatively safe
material is converted into a highly dangerous and sinister
pollutant. During incineration, billions of radioactive
particulates will be formed and emitted into the air. These may
be inhaled by anyone unfortunate enough to be downwind at the
wrong time, and pass through the lungs and circulation and then
into the cells. Once inside the body it will continue to emit
radiation. Alpha radiation has a very short range but great
destructive power. Both alpha and beta radiation will be highly
destructive and carcinogenic to nearby tissues. Each one of the
billions of radioactive particulates emitted represents a very
real danger. There can be no safe threshold for this material.
The risk from this policy is obvious.
Safety regulations
bizarrely make no distinction between internal and external
radiation even though these are markedly different. For instance
Beral found that prostate cancer was higher in workers in the
nuclear industry. There was no correlation with external
radiation but a highly significant correlation with internal
radiation304.
Animal studies make this even more clear and rats injected with
0.01mGy of Strontium 90 were found to have pathological damage
even though the dose was 200 times less than background
radiation305
. Of more
concern is the fact that transgenerational effects have also
been demonstrated. Mice two generations from a male injected
with this Strontium 90 suffered lethal genetic damage,
demonstrating that chromosomal damage was passed through the
genes to the offspring of irradiated mice306.
Many people would be
surprised to know just how small a dose of radiation is needed
to cause harm. After Chernobyl sheep were monitored for
Strontium 90 and the limit set was 0.00000000019 grams per
kilograms of meat, so small it would be invisible307
. And yet
regulations allow billions of particulates containing similarly
minute quantities of radioactive material to be emitted into the
air from incinerators. In contrast, natural background radiation
is, at most, a minor hazard. For instance Aberdeen has double
the level of natural background radiation but no increased risk
of leukaemias or cancers.
b) Associated with Other
Sites
Increased incidence of
leukaemias and cancers around sites releasing radioactive
material are well documented. At Seascale a public health
enquiry found children were more than ten times more likely to
get leukaemia and three times more likely to get cancer308,309.
The incidence of leukaemias in children living within 5
kilometres of the Krummel and Goesthact nuclear installations in
Germany is much higher than in Germany as a whole.
Significantly, the first cases of leukaemia only appeared five
years after Krummel was commissioned. At Dounreay there was a
sixfold increase in children¡¯s leukaemia310
and at Aldermaston there was also an increase in
leukaemias in the under fives311.
Sharply rising leukaemia rates were noted in five neighbouring
towns surrounding the Pilgrim nuclear plant in Massachusetts in
the 1980s. It was thought to be linked to radioactive releases
from the Pilgrim nuclear plant ten years earlier where there had
been a fuel rod problem. ¡®Meteorological data showed that
individuals with the highest potential for exposure to Pilgrim
emissions had almost four times the risk of leukaemia compared
to those having the lowest potential for exposure¡¯312,313.
A recent meta-analysis of 17 published reports that covered 136
nuclear sites across the world took a global look at the
problem. They found death rates from leukaemia in children under
the age of 9 were increased by 21% and in those under 25 by 10%314.
They noted that discharges from these plants have been too low
to account for the leukaemias using standard criteria (based on
single or intermittent high dose radiation). The likely
explanation here is internal radiation where a minute dose taken
internally would be enough to trigger a cancer or leukaemia.
This should be seen as a strong warning about the danger of
incinerating and dispersing radioactive matter into the
environment.
The weight of evidence
here strongly suggests that airborne radioactivity is a potent
carcinogen and likely to be extremely hazardous. To allow it at
all is foolhardy but to combine this with a cocktail of other
carcinogens is reckless.
10.3
Spread of Pollutants
The National Research
Council, an arm of the National Academy of Sciences, that was
established to advise the US government, concluded that it was
not only the health of workers and local populations that would
be affected by incinerators. They reported that populations
living more distantly are also likely to be exposed to
incinerator pollutants. They stated ¡°Persistent air
pollutants, such as dioxins, furans and mercury can be dispersed
over large regions ¨C well beyond local areas and even the
countries from which the sources emanate. Food contaminated by
an incinerator facility might be consumed by local people close
to the facility or far away from it. Thus, local deposition on
food might result in some exposure of populations at great
distances, due to transport of food to markets. However, distant
populations are likely to be more exposed through long-range
transport of pollutants and low-level widespread deposition on
food crops at locations remote from an incineration facility.¡±315
They later commented that
the incremental burden from all incinerators deserves serious
consideration beyond a local level. This has obvious relevance
to the present policy of promoting incinerators in the UK. An
important point is that the more toxic smaller particulates,
which typically have more toxic chemicals and carcinogens
attached, will travel the furthest.316
Most chemical pollutants
are lipophilic and are therefore not easily washed away by the
rain after they settle. When they land on crops they enter the
food chain where they bioaccumulate. It has already been
admitted that most dioxin in food today in the UK came from the
older generation of incinerators. All chemicals capable of
entering the food chain will sooner or later reach their highest
concentration in the foetus or breast fed infant.
A striking example of the
unforeseen and tragic consequences of releasing pollutants into
the air has been seen in Nunavut, in the far North of Canada in
the Polar Regions. The Inuit mothers here have twice the level
of dioxins in their breast milk as Canadians living in the
South, although there is no source of dioxin within 300 miles.
At the centre of Biology of Natural Systems in Queen¡¯s College,
New York, Dr Commoner and his team used a computer programme to
track emissions from 44,000 sources of dioxin in North America.
This system combined data on toxic releases and meteorological
records. Among the leading contributors to the pollution in
Nunavut were three municipal incinerators in the USA317,318.
10.4
Cement Kilns
Although this report is
primarily about incinerators it is useful to compare
incinerators with cement kilns. Both produce toxic emissions of
a similar type and much of the report is relevant to both.
Cement kilns convert ground limestone, shale or clay into
cement. They require large quantities of fuel to produce the
high temperatures needed and this lends itself to the use of
non-traditional fuels such as tyres, refuse-derived fuel and
industrial and hazardous wastes variously called Cemfuel,
secondary liquid fuel (SLF) and recycled liquid fuel (RLF).
However, pollution and
planning controls are significantly weaker than those for
hazardous waste incinerators. Cement kilns produce a number of
toxic emissions similar to incinerators. Burning tyres produces
emissions with dioxins and zinc and burning petroleum coke
produces vanadium and nickel. Releases of mercury and arsenic
are uncontrolled as these are vapourised. The risk from dioxins
is considerably greater as most cement kilns do not have the
activated charcoal needed to remove them.
The risk from PM2.5
particulates is
extremely serious. The limit set for the weight of all
particulates emitted by incinerators is 10mg per cubic metre.
However cement kilns are allowed to emit 30-50 mg per cubic
metre. This would be excessive by itself but the volumes of
emissions from cement kilns can be up to five times greater than
incinerators. Therefore some cement kilns can produce emissions
of particulates and other toxic substances which are in excess
of 20 times that of incinerators under normal operating
conditions. Worse still they have poorer abatement equipment and
usually lack the activated charcoal needed to reduce emissions
of metals and dioxins.
The electrostatic
precipitators need to be shut off when carbon monoxide levels
build up due to the risk of explosion. This leads to unabated
emissions. This has happened 400 times a year in one plant. The
quantities of particulates released at these times are immense
reaching 20,000mg per cubic metre which are the highest level
that can be measured. Recent research has demonstrated
unequivocally that small increases in PM2.5
particulates will
increase cardiovascular and cerebrovascular mortality, so to
allow releases of this order therefore borders on the negligent.
Incredibly PM2.5 particulates are
not routinely measured.
Independently-audited
monitoring by a registered charity at one cement kiln in the UK
has continuously recorded levels of particulates, using 15
minute average readings319
. They have found extremely high surges of particulates, typically
with peak readings occurring at night, sometimes several times a
week, with maximum
PM10
particulates
reaching levels of over 4500 µg per cubic metre and maximum PM2.5
reaching over
170µg per cubic metre. Current scientific knowledge on
particulates suggests that these levels would be expected to
cause cardiovascular deaths and the findings demonstrate the
urgent need for independent monitoring around all cement kilns.
This monitoring has exposed major deficiencies in the present
monitoring and regulatory system.
Thermal treatment of
hazardous waste is always a highly dangerous activity and the
very best available technology needs to be used. Cement kilns
are effectively being used to burn hazardous waste on the cheap.
Sadly hazardous waste typically finds its way to the least
regulated and cheapest disposal methods, in practise those that
create the most health risks and the most environmental damage.
Cement kiln technology
has remained virtually unchanged since the turn of the twentieth
century. They can only be refitted or retrofitted to a minimal
degree to improve efficiency and toxic waste destruction. The
Select Committee for the environment recommended studies on the
safety of cement kilns over 10 years ago and this has been
ignored. Why?
Cement kilns are
therefore capable of extremely serious health consequences.
Incredibly some of these cement kilns have been sited in the
middle of towns where they would be expected to have a major
effect on the health of the local population. The fact that they
are allowed at all is astonishing, for the maximum impact will
inevitably be on the most vulnerable members of society, and in
particular the unborn child.
11.
Monitoring
At the heart of the
problems with incineration is the poor quality and
unsatisfactory nature of monitoring at these installations,
unsatisfactory in the way it is done, the compounds monitored,
and the levels deemed acceptable, and the lack of monitoring of
body burdens in the local population. The problems are as
follows:
Very Few Pollutants are
being measured
Out of the hundreds of
chemicals released from an incinerator only a tiny proportion
are measured. On current data, the three most important
pollutants released by incinerators are dioxins, heavy metals
and PM2.5
particulates.
Incredibly these are virtually unmonitored. Only half a dozen
pollutants are measured continuously in the stack and about
another half dozen are measured occasionally (usually 6 monthly
for the first year and then yearly) by spot monitoring ¨C these
include heavy metals and dioxins. This is clearly unsatisfactory
and since waste operators are warned in advance of a visit, they
are handed an opportunity to change to burning cleaner waste
which is unrepresentative of the toxic risk, making the exercise
largely pointless.
The Most Dangerous
Pollutants are hardly being Monitored
Accidental by-passing of
pollution control devices by incinerators present very real
dangers to people living in the vicinity of incinerators and
this danger is compounded by the near absence of monitoring of
dioxins. Two episodes serve to illustrate this. A modern state
of the art incinerator in Rotterdam was found to be by-passing
its pollution control devices 10% of the time emitting dioxins
equivalent to 5 times the national limit over the city. In
Norfolk, Virginia a similar incident led to dioxin emissions
greater than the allowable combined limits for traffic,
incinerators and industry for Sweden, Germany and the
Netherlands combined. This would cause widespread pollution of
an area with dioxin and other persistent pollutants that could
last for decades, if not centuries, putting many generations at
risk.
Start-ups and shut downs
of incinerators give rise to a similar danger. A recent study
found that a single incinerator start-up would, on average,
generate, over a 48 hour period, 60% of the total
annual dioxin emissions produced during steady state
conditions ¨C in other words 7 months worth of dioxin release
within 2 days of a typical start-up. They also found that the
levels of dioxins produced by start-ups at some of the
incinerators they studied could be twice the annual dioxin
emissions under steady state conditions (this is the equivalent
of 24 months of dioxin release within 2 days)320. The danger to people living in the area is obvious and serious.
High levels of dioxins can also be produced during shut-downs
and during commissioning (when they are not monitored).
Dioxins are only
monitored at 3-12 month intervals and then only for a few hours.
This means that dioxins are not monitored 99% of the time. It
could therefore be many months before high levels of dioxin
emissions were detected perhaps allowing enough dioxin to be
released to threaten the health of a whole community and render
farms in the vicinity unfit for growing vegetables or rearing
livestock. In fact, the operator and the public might never find
out and then steps would never be taken to deal with the
consequences.
An added problem is that
spot monitoring (as is used currently) has been shown in a
recent study to be unrepresentative and to underestimate dioxin
levels by 30-50 times321.
The situation is no better with heavy metals. Like dioxins, they
are unmonitored for 99% of the time.
Clearly, continuous
dioxin monitoring is essential and without such monitoring,
incinerators must be regarded as unsafe and a hazard to anyone
living in the area. Continuous dioxin monitoring should be
mandatory as is the case in some other European countries.
Currently, monitoring of the three most important and dangerous
pollutants, namely dioxins, heavy metals and PM2.5
particulates is
virtually non-existent in the UK. In the case of PM2.5
particulates they are not monitored at all ¨C only the far less
relevant PM10 particulates.
Independent monitoring of
cement kilns has already demonstrated very high particulate
emissions that could seriously endanger health319.
These releases have been frequent (sometimes 3 times a week),
dangerous (reaching 4500µg per cubic metre of PM10
particulates) and
have escaped detection by the regulatory authorities. Clearly,
the present regulatory system is not protecting the public.
The Standard of
Monitoring on the Ground is also Unacceptable
In addition to monitoring
in the stack, there is a requirement to monitor pollutants in
the surrounding air. This is normally done by the local council
with monitors at ground level. However this is also
unsatisfactory. For instance to monitor for safe levels of
particulates it would require at least 24 monitors placed at
strategic points around an incinerator (assuming the wind is
distributed evenly) to achieve a 25% sampling rate, which is the
minimum that can be considered acceptable3.
Typically, there are less than three monitors around most
incinerators today. Measurement of heavy metals in the
surrounding air, with the exception of lead, is not even
required.
No Monitoring of
Pollutants which have accumulated in the Neighbourhood
Measuring concentration
of pollutants released in the stack gives no information about
the levels of toxic material that have accumulated in the
vicinity. When the rate of discharge of pollutants into the
environment is greater than the ability of the ecosystems to
break them down then they must accumulate. We already know that
many do not break down for centuries. The excretion rates of
many pollutants from the human body are also very poor, for
example the half life of cadmium in the body is 30 years
and for PCBs it is 75 years. Many pollutants, being fat soluble,
will bio-accumulate in living matter at far high concentrations
than in the ambient air. A US EPA memo admitted that the risk
from accumulation of dioxin in farm animals ¡°could result in
unacceptable health risks¡±. Using a type of risk assessment
called screening analysis322
they calculated that dioxin would accumulate in cattle downwind
from an incinerator and that the risk from beef and milk
consumption would be 40,000 times the risk from inhalation. This
is a massive increase in risk and is in keeping with what we
already know about bioaccumulation in other species (see Section
3.4). Monitoring of dioxins in cattle and other farm animals
regularly is essential for these reasons. Regrettably it is not
being done and therefore consumers of these products are being
put at risk. Checks for pollutants in dust, vegetation and in
the bodies of local inhabitants are also necessary.
It is sometimes argued
that these pollutants don¡¯t matter as they will be carried away
in the wind and be someone else¡¯s problem. Sadly this is partly
true and that is the reason there is so much pollution in the
fragile ecosystem in the Arctic where much of the toxic material
ultimately ends up.
Monitoring relies on
Safety Data derived from Animal Studies
Animal studies commonly
underestimate human vulnerability because of the obvious
difficulty in testing cognitive, behavioural and language
deficiencies and conditions such as fatigue. In the case of
lead, mercury and PCBs, animal studies have underestimated the
neurotoxic effect on humans by a factor of 100 to 10,000 times285
.
Monitoring Gives Little
Protection to the Foetus
Average levels or spot
monitoring ignores exposures at critical times. The timing of
the exposure is often more important than the concentration.
Exposures at critical times during foetal growth or infancy are
known to produce more serious effects than similar exposures in
adulthood and this damage can be permanent. This is well
recognised, especially with lead, mercury and PCBs. None of the
safety limits has been demonstrated to protect against foetal
damage. We know from animal and human studies that toxins have
the greatest impact on the foetus and young child. The most
vulnerable members of the community are likely to bear the brunt
of these toxic releases.
Many Pollutants have No
Safe Threshold or show Low Dose Toxicity
Some pollutants such as
PM2.5
particulates, lead
and dioxin have no safe thresholds. Most organochlorines are
endocrine disruptors and thresholds may not exist for these
effects. Monitoring gives little or no protection in these
situations. Sometimes low dose studies have shown toxic effects
at levels far below the ¡°no effect¡± level in high dose studies.
An example of this is bisphenol A, a plasticizer. Studies showed
health effects at levels 2,500 times lower than American EPA¡¯s
lowest observed effect, with adverse outcomes including
aggressive behaviour, early puberty and abnormal breast growth220.
Perchlorate produces changes in the size of parts of the brain
at 0.01 mg/kg/day but not at 30mg220
. Aldicarb
was found to suppress the immune system more at 1 ppb than it
did at 1000ppb. Other chemicals also produce different effects
at low dose to what they do at high dose. This shows how very
little we know about the dangers of exposing whole populations
to chemical pollution.
Pollution Offences are
Commonplace and Regulation is Poor
Ten incinerators in the
UK committed 553 pollution offences in a two year period,
documented in Greenpeace¡¯s ¡°A Review of the Performance of
Municipal Incinerators in the UK¡±. This appalling record led to
only one prosecution by the Environment Agency. There is little
point in tighter regulations if they are not enforced. Fines
received for pollution offences have been compared to a person
on a £50,000 salary receiving a £20 parking fine. This clearly
gives waste companies a green light to ignore regulations and
pollute with little fear of the consequences. The above data was
based on self assessment by the companies concerned.
Levels of emissions
achieved under test conditions or when inspections occur by
prior arrangements are likely to be far lower than under real
life conditions. This was demonstrated in the United States in
1990 when the EPA and Occupational Safety and Health
Administration conducted 62 unannounced visits and no less than
69% of inspections led to summons for violations of regulations323.
(In the UK inspections are by prior arrangement). This makes a
strong case for making all visits unannounced.
When an environmental
group investigated an incinerator in Indianapolis the situation
was even worse. They found it had violated its permits 6,000
times in two years and bypassed its own air control pollution
devices 18 times.
In effect, incinerators
present inherent and unavoidable hazards to public safety but
the extent of the hazards depends on how well incinerators are
run. The evidence is strong that they are often run badly. The
situation is made worse by weak regulators with little appetite
for enforcing public safety.
12. Risk
Assessment
One might reasonably
expect that, when the decision to build an incinerator is made,
all the above information would be carefully taken into account.
Sadly this is not necessarily the case. Directors of Public
Health, who usually have little knowledge of environmental
health, are asked to write an IPPC (Integrated Pollution
Prevention and Control) Application Report and give their
opinion on the health risks from the proposed incinerator.
Typically this decision is based on an inexact method called
risk assessment. They tend to rely almost exclusively on this
type of assessment and often have little understanding of its
limitations.
Risk assessment is a
method developed for engineering but is very poor for assessing
the complexities of human health. Typically it involves
estimating the risk to health of just 20 out of the hundreds of
different pollutants emitted by incinerators. It masquerades as
a scientific measure but has all the hallmarks of pseudoscience.
By pseudoscience we mean assumptions based on false premises:
1)It makes the assumption
that any substance emitted but not assessed (this means 99% of
all pollutants) should be treated as if they have zero risk.
This assumption is obviously untrue.
2)It assumes wrongly that
all pollutants have thresholds below which they are safe.
Science contradicts this. Many pollutants, including dioxins,
lead and radioactive particulates do not have thresholds and
some may even be more dangerous at lower concentrations (see
section 11). An international meeting of neurologists and
endocrinologists concluded ¡°Chemical challenges in early life
can lead to profound and irreversible abnormalities in brain
development at exposure levels that do not produce permanent
effects in an adult; there may not be definable thresholds for
response to endocrine disruptors¡±324
. The
National Research
Council concluded in 1992 that ¡°the assumption of thresholds for
neurotoxicity was biologically indefensible¡±225
.
We might also
note that the accepted thresholds for many pollutants have been
progressively reduced over the last few decades (including vinyl
chloride, ethylene dichloride and six chlorinated solvents) with
reductions to between one half and one tenth of the original
limits. We can expect further reductions as science progresses.
3)It assumes wrongly that
only air emissions need to be considered and bioaccumulation in
food can be ignored. However air emissions may be only the tip
of the iceberg. Most food today is contaminated with dioxins,
predominantly from past incinerator emissions. As noted in
section 11, a leaked report in 1993 from the US Environmental
Protection Agency calculated that dioxin would accumulate in
cattle in a farm downwind of an incinerator in Ohio posing a
risk to the frequent beef consumer which was 40,000 times higher
than from inhalation alone. If the incinerator operated for 30
years the cancer risk from eating this beef regularly was
calculated to be a massive 1,200 per million, far beyond
acceptable risk322.
We can assume this sort of risk from food produced near most
incinerators occurs routinely and yet it is being sold to the
public and regulators are turning a blind eye to the danger.
4)It misconstrues lack of
evidence on the danger of pollutants as evidence of safety. The
toxic effects of 88-90% of chemicals and pollutants are unknown325
. It is
impossible to assess the risk of substances we barely
understand. This is particularly true in relationship to birth
and developmental defects. Many pollutants have not even been
characterised, let alone assessed for risk.
5)It assumes that health
effects such as infertility, immune suppression, altered
behaviour and reduced intellectual capacity which are not
included in the risk assessment can be ignored. However there is
ample and increasing evidence that many pollutants have just
these impacts.
6)It assumes wrongly that
ecosystems have the ability to absorb and degrade all
environmental pollutants. Again science contradicts this: many
pollutants are known to be persistent and bioaccumulative. In
fact, if the rate of input, however small, is greater than the
rate at which they break down they must accumulate. It is
equivalent to filling up a bucket under a slow dripping tap:
sooner or later the water will overflow unless the source of
water is stopped.
7)It assumes wrongly that
the hazard posed by each individual compound tested out of
context and in isolation can predict the hazard of complex
mixtures of chemicals. In the real world pollutants typically
occur in combinations and abundant evidence now exists that
increased toxicity is common with multiple exposures.
8)It assumes wrongly that
the cumulative pollution burden of all the emissions produced by
all these facilities can safely be ignored and each facility can
be considered in isolation. It is this type of limited thinking
that has led to the contamination of entire ecosystems such as
the Great Lakes, Baltic Sea, Mediterranean and Arctic. These
pollutants pose global and multigenerational threats to health
and ecosystems.
9) It assumes wrongly
that we have a comprehensive understanding of the complexity of
biological processes and chemical toxicity when in reality there
are vast information gaps. This is why we have been constantly
surprised by unpleasant
discoveries like endocrine disruption and high body
burdens in newborns.
10) It wrongly assumes all people will react
in the same way to pollutants and
in particular ignores the
fact that the foetus is at far greater risk.
Hidden within this type
of assessment is a value judgement about what is an
acceptable level of risk326
and this is
not made explicit. For instance what is an
acceptable number of
birth defects and who is it acceptable to? A cancer risk of 1
per
million is typically
considered acceptable but may not be acceptable to the person
affected by the cancer.
Risk assessment usually
involves ¡°modelling¡±; ¨C dispersion models use an
estimation of exposure
data, rather than actual exposure data, to assess the impacts of
pollutants and their
likely distribution. These reports are typically produced by the
polluter. The models are
not accurate -modelling has a 30% confidence level ¨C this
means this technique has
only a 30% chance of accurately predicting the ground level
concentrations of
pollutants -in other words less accurate than tossing a coin.
Only
about half the
predictions are within a factor of two of actual (observed)
concentrations and the
rest are even less accurate. The models attempt to predict a
worst case scenario but
the models cannot accurately represent real worse case
scenarios which typically
occur when there is little or no wind leading to a build-up of
pollutants. This means
real worst case scenarios can be much worse than predicted327.
Different models can give
very different results.
In addition, present
modelling methods are not only inaccurate in estimating
ground level pollutant
concentration once emitted but they also seriously
underestimate the
quantities of pollutants emitted. In particular, modelling
almost
never takes into account
secondary particulates formed as the products of combustion
rise up the stack. These
secondary particulates can double the total volume of
particulates (see section
2.1).
Modelling produces the
illusion of a scientific knowledge and a certainty that is
entirely unjustified by the imprecise nature of modelling and it
is based on substantial scientific uncertainty and limited
scientific data. It produces a mass of complex mathematical
data, which implies unjustified precision, and it is difficult
for people not familiar with the mathematics to disentangle the
inaccuracies. This was summed up by the head of the EPA
Carcinogen Assessment Group, Roy Albert, when he said
¡°Individuals with very different institutional loyalties can
produce very different risk assessments from the same materials,
where large uncertainties exist.¡± In other words it is very easy
to bias it towards the waste operator. It is often treated by
regulators328
and
Directors of Public Health as if it was an accurate assessment.
In spite of these severe limitations it is extensively used.
These risks assessments
have almost always concluded that incinerators are
safe which flies in the
face of epidemiological data which shows the opposite. It also
flies in the face of the
history of chemical use. The latter is littered with examples of
chemicals once said to be
safe which were later found to have devastating and
unanticipated effects,
often beyond the worst case scenario (eg DDT, PCBs, CFCs)
(see section 7.2).
13. Public Rights
and International Treaties
In 2001 the United
Nations Commission on Human Rights stated that ¡°everyone has
the right to live in a world free from toxic pollution and
environmental degradation¡±.
It is unethical that
people should die from the emissions from incinerators when safe
alternatives are available and for this reason incineration
violates Article 2 of the European Human Rights Convention, the
Right to Life.
The Stockholm Convention,
agreed to by over 100 countries including Britain, in 2001,
commits countries to eliminating persistent organic pollutants,
including PCB, dioxins and furans, calling for countries to
prevent not just the release of these pollutants but also
their formation. The formation of these substances is an
inevitable consequence of the use of incinerators. The
Convention also requires parties to take measures to reduce the
total releases of these substances (which includes
releases to fly ash). It identifies incinerators as primary
sources of these compounds. Incineration is, in all these ways,
a flagrant violation of the Stockholm convention.
Incineration is also a
violation of the Environmental Protection Act of 1990 which
states that the UK must prevent emissions from harming human
health.
14.
Conclusions
1)Incineration does not
remove waste. It simply converts it into another form (gas,
particulates, ash) and these new forms are typically more
hazardous though less visible than in the original form.
2)Large epidemiological
studies have shown higher rates of adult and childhood
cancers and of birth defects around incinerators.
Smaller studies and a large body of related research support
these findings, point to a causal relationship, and suggest that
a much wider range of illnesses may be involved.
3) Recent research has
confirmed that particulate pollution, especially the fine
particulate (PM2.5)
pollution, which is typical of incinerator emissions, is an
important contributor to heart disease, lung cancer, and
an assortment of other diseases, and causes a linear increase
in mortality. The latest research has found there is a much
greater effect on mortality than previously thought and implies
that incinerators will cause increases in cardiovascular and
cerebrovascular morbidity and mortality with both short-term and
long-term exposure. Particulates from incinerators will be
especially hazardous due to the toxic chemicals attached to
them.
4)Other pollutants
emitted by incinerators include heavy metals and a large variety
of organic chemicals. These substances include known
carcinogens, endocrine disruptors, and substances that can
attach to genes, alter behaviour, damage the immune system and
decrease intelligence. There appears to be no threshold for some
of these effects, such as endocrine disruption. The dangers of
these are self-evident. Some of these compounds have been
detected hundreds to thousands of miles away from their source.
5)The danger of
incinerating radioactive waste deserves special mention.
Incineration converts radioactive waste into billions of
radioactive particulates. These particulates make a near perfect
delivery system for introducing the radioactive matter into the
human body, where it can then act as an internal emitter of
alpha or beta radiation. This type of radiation is qualitatively
different, far more dangerous and far more sinister, than
background radiation. There can be no justification for using
this method of dealing with radioactive waste.
6) Modern incinerators
produce fly ash which is much more toxic than in the past,
containing large quantities of dioxin-rich material for which
there is no safe method of disposal, except vitrification, a
method not being used in the UK. Disposal of incinerator ash to
landfill sites is associated with long-term threats to aquifers
and water tables and the potential for accidents serious enough
to require evacuation of an area.
7)The risks to local
people that occur when incinerators operate under non-standard
working conditions have not been addressed, particularly the
emissions at start-up and shutdown which may be associated with
the release, within 2 days, of more dioxin than over 6 months of
working under standard conditions.
8)The greatest concern is
the long-term effects of incinerator emissions on the
developing embryo and infant, and the real possibility that
genetic changes will occur and be passed on to succeeding
generations. Far greater vulnerability to toxins has been
documented for the very young, particularly foetuses, with risks
of cancer, spontaneous abortion, birth defects or permanent
cognitive damage. A worryingly high body burden of pollutants
has recently been reported in two studies of cord blood from
new-born babies.
9)Waste incineration is
prohibitively expensive when health costs are taken into
account. A variety of studies, including that from the
government, indicate that a single large incinerator could cost
the tax payer many million of pounds per annum in health costs.
Put simply, the government¡¯s own data is demonstrating that
incinerators are a major health hazard. With the predicted
inclusion of the waste industry within the EU European Emissions
Trading Scheme, local taxpayers, in areas with incinerators,
will not only have to live within a polluted area but will be
saddled with costs, under ETS, of millions of pounds per annum
to pay for it.
10) Waste incineration is
unjust because its maximum toxic impact is on the most
vulnerable members of our society, the unborn child, children,
the poor and the chemically sensitive. It contravenes the United
Nations Commission on Human Rights, the European Human Rights
Convention (the Right to Life), and the Stockholm Convention,
and violates the Environmental Protection Act of 1990 which
states that the UK must prevent emissions from harming human
health.
15.
Recommendations
1) The safest methods of
waste disposal should be used.
2) Health costs should be
routinely taken into account when deciding on waste disposal
strategies.
3) The present limited
method of risk assessment by which the safety of proposed
installations is judged, is inadequate, can easily be biased
towards the waste operator, cannot be relied on, and should be
reviewed.
4) Tackling the problems
of both the amount and the nature of waste generated is of
critical importance, with the emphasis on reducing the
production of waste, and on recycling.
5) The serious health
consequences of fine particulate pollution have become apparent
in the last ten years: incinerators are a significant source
and, for this reason alone, in our considered opinion,
incineration is the least preferred option for getting rid of
waste. Taking into consideration all the information available,
including research indicating that there are no safe levels for
fine particulates, the increasing amount of plastic and related
substances in the waste stream and the highly toxic ash produced
by modern incinerators, we can see no reason to believe that the
next generation of incinerators would be substantially safer
than the previous ones.
6) Far safer alternative
methods are now available including recycling, mechanical
biological treatment, aerobic digestion and plasma gasification:
a combination of these would be safer, would produce more
energy, would be cheaper than incineration in the long run and
would be much cheaper when health costs are taken into account.
Thermal methods should only be used for residual, non-recyclable
waste and the safest thermal method should be chosen: currently
this is plasma gasification. This not only produces more energy
but can use plastics as a resource. These more advanced methods
should be employed.
7) This report draws
attention to the many deficiencies and poor quality of the
present monitoring procedures. We recommend the introduction of
a far stricter and more comprehensive system for the monitoring
of all waste-burning plants by a fully independent body,
including random unannounced visits: the monitoring should
include:
a)Continuous monitoring
of dioxins ¨C this is an absolute essential and, not
surprisingly, is mandatory in some countries. This vital step is
essential because of the extremely toxic nature of the pollution
emitted when incinerator pollution control devices are
by-passed. The UK should not have the second rate safety
standards that they have at present.
b) Continuous
monitoring of PM2.5
particulates and monitoring of PBDEs.
c) A comprehensive
system of monitors set up by Councils around all incinerators to
measure particulates and heavy metals.
d)Monitoring of dioxin in
all livestock within a 5 mile radius of incinerators due to the
known and serious risk from bioaccumulation in food.
e) Periodic monitoring
of the heavy metals and dioxins in the fly ash
f) A programme of
monitoring the body burdens of some key pollutants in local
inhabitants.
g) Periodic monitoring
of the content of dust in homes in the locality
8) It is particularly
important that incinerators should not be sited in deprived
areas or areas with high rates of mortality where their health
impact is likely to be greatest. This can only add to health
inequalities. (NB. Presently 9 out of 14 incinerators have been
built in the most deprived 20% of wards329).
9) The present subsidies
and tax advantages, which favour incineration, should be
removed. A ban or tax on recyclable material going to
incinerators or landfill deserves serious consideration. It is
nonsense to regard bottom ash, with its significant dioxin
content, as an inert substance and it should incur landfill tax
at a higher rate.
10) We recommend that no
further waste incinerators be built.
References:
Section 2. Emissions from
Incinerators and other Combustion Sources
2.1 Particulates
1) EC
(1998) Proposal for a Council Directive on the incineration of
waste. Brussels 07.10.1998 COM (1999) 558final. 98/0289 (SYN).
2)
Howard C V (2000) In Health Impacts of Waste Management
Policies. Hippocrates Foundation, Kos, Greece 12-14 Nov 1998.
Academic Publishers.
3)
Personal communication, Peter Rossington BSc (Hon), MRSC,
Chemical Consultant. 2005.
4)
Espinosa AJ, Rodriquez MT, Barragan de la Rosa FJ et al. Size
distribution of metals in urban aerosols in Seville (Spain).
Atmos Environ 2001; 35: 2595-2601.
5) Baek
SO, Field RA, Goldstone ME et al. A review of atmospheric
polycyclic aromatic hydrocarbons: sources, fate and behaviour.
Water, Air Soil Pollution, 1991; 60: 279-300.
6)
Pistikopoulos P, Mascelet P, Mouvier G. A receptor model adapted
to reactive species ¨C polycyclic aromatic hydrocarbons
-evaluation of source contributions in an open urban site. Atmos
Environ A-Gen 1990; 24: 1189-97.
7)
Venkataraman C, Friedlander SK. Source resolution of fine
particulate polycyclic aromatic hydrocarbons ¨C using a receptor
model modified for reactivity. J Air Waste Management; 1994; 44:
1103-08.
8)
Zmirou D, Masclet P, Boudet C, Dechenaux J. Personal exposure to
atmospheric polycyclic hydrocarbons in a general adult
population and lung cancer assessment. J Occup Environ Med 2000;
42(2): 121-6.
2.4 Organic Pollutants
9)
Kerkvliet NI. Immunotoxicology of dioxins and related compounds.
In Schecter, Dioxins and Health p 199-225.
10)
Whyatt RM, Santella RM, Jedrychowski W et al. Relationship
between ambient air pollution and DNA damage in Polish mothers
and newborns. Environ Health Perspect, 1998; 106 Suppl 3: 821-6
11)
Porterfield SP. Vulnerability of the developing brain to thyroid
abnormalities and environmental insults to the thyroid system.
Environ Health Perspect 1994; 102 Supp 2: 125-30.
12)
Peters JM, Thomas D, Falk H et al. Contribution of metals to
respiratory cancer. Environ Health Perspect 1986;70: 71-83.
13)
Gottscalk LA, Rebello T, Buchsbaum MS et al. Abnormalities in
hair trace elements as indicators of aberrant behaviour. Comp
Pyschiatry 1991; 32 (3): 229-37.
14) Tong
S, Baghurst P, McMichael A et al. Lifetime exposure to
environmental lead and children¡¯s intelligence at 11 ¨C 13 years:
the Port Pirie Cohort Study. BMJ 1996; 312 (7046): 1569-75.
15)
Sedman RM, Esparza JR. Evaluation of the public health risks
associated with semivolatile metal and dioxin emissions from
hazardous waste incinerators. Environ Health Perspect 1991; 94:
181-7.
16)
Ericksson P, Jakobsson E, Fredriksson A. Brominated flame
retardants: A novel class of developmental neurotoxicants in our
environment? Environ Health Perspect, 2001; 109(1): 903-908.
17)
Olsson P-E, Borg B, Brunstrom B, Hakansson H, Klasson-Wehler E.
Endocrine disrupting substances. ISBN 91-620-4859-7, Swedish
EPA, Stockholm 1998.
Section 3. Health effects
of Pollutants
3.1 Particulates
18) WHO
Air Quality Guidelines, 1999, Chapter 3.
19)
Dockery DW, Pope Ca 3rd, Xu X et al. An association between air pollution and mortality in
six US cities. N Eng J Med 1993; 329(24): 1753-9.
20) Pope
CA, Thun MJ, Namboodiri MM et al. Particulate air pollution as a
predictor of mortality in a prospective study of US adults. Am J
Respir Crit Care Med 1995; 151 (3 pt 1): 669-74.
21) de
Hartog JJ, Hoek G, Peters A, et al. Effects of fine and
ultrafine particles on cardiorespiratory symptoms in elderly
subjects with coronary heart disease: the ULTRA Study. Am J
Epidemiology 2003; 157(7): 613-23.
22)
Nemmar A, Hoet PH, Vanquickenborne B et al. Passage of inhaled
particles into the blood circulation in humans. Circulation
2002; 105(4): 411-4.
23)
Maynard RL, Howard CV, Air Pollution and Health, London:
Academic Press 1999: 673-705.
24)
Ponka A, Virtanen M. Asthma and air pollution in Helsinki. J
Epidemiol Community Health 1996; 50 Suppl 1: s59-62.
25)
Particulate Matter: Properties and Effects upon Health, BIOS
Scientific Publishers Ltd, Oxford p 63-84.
26)
Airborne Particulate Matter in the United Kingdom. Third Report
of the Quality of Air Review Group (QUARG) May 1996, ISBN 0
9520771 3 2.
27)
Goldberg MS, Burnett RT, Bailar JC et al. The association
between daily mortality and ambient air particle pollution in
Montreal, Quebec. 2. Cause-specific mortality. Environ Res 2001:
86(1): 26-36.
28) Pope
CA, Burnett RT, Thun MJ, et al. Lung cancer, cardiopulmonary
mortality, and long-term exposure to fine particulate air
pollution. JAMA 2002; 287(9): 1132-41.
29)
Whitman v American Trucking Assoc Inc 532 US 457 (2001).
30)
Re-analysis of the Harvard Six Cities Study and the American
Cancer Society Study of Particulate Air Pollution and Mortality:
Special Report. Cambridge, Mass: Health Effects Institute July
2000, led by Dr Daniel Kreweski.
31)
Ostro B, Chestnut L. Assessing the benefits of reducing
particulate matter and pollution in the United States. Environ
Res 1998; 76(2): 94-106.
32) Pope
CA, Bumett RT, Thurston GD et al. Cardiovascular Mortality and
Long-Term Exposure to Particulate Air Pollution: Epidemiological
Evidence of General Pathophysiological Pathways of Disease.
Circulation 2004; 109: 71-77.
33)
Miller KA, Siscovick DS, SheppardL, et al. Long term exposure to
air pollution and incidence of cardiovascular events in women. N
Eng J Med 2007, 356:447-458
34)
Peters A, Dockery DW, Muller JE et al. Increased particulate air
pollution and the triggering of myocardial infarction.
Circulation 2001; 103 (23): 2810-5.
35) Hong
YC, Lee JT, Kim H, Kwon HJ. Air pollution: a new risk factor in
ischemic stroke mortality. Stroke 2002; 33(9): 2165-9.
36) Hoek
G, Brunekreef B, Fischer P et al. The association between air
pollution and heart failure, arrhythmia, embolism, thrombosis
and other cardiovascular causes of death in a time series.
Epidemiology 2001; 12(3): 355-7.
37)
Maheswaran R, Haining RP, Brindley P et al. Outdoor air
pollution and Stroke in Sheffield, United Kingdom, Small-Area
Geographical Study. Stroke 2005; 36(2): 239-43.
38)
Schwartz J. Air pollution and hospital admissions for heart
disease in eight US counties. Epidemiology 1999; 10(1): 17-22.
39)
Baccerelli A, Martinelli I, Zanobetti A et al. Exposure to
particulate air pollution and risk of deep venous thrombosis.
Arch Int Med 2008; 168(9):920-7
40)
Zanobetti A, Schwartz J. Cardiovascular damage by airborne
particles: are diabetics more susceptible? Epidemiology 2002;
13(5): 588-92.
41)
Peters A, Liu E, Verrier RL et al. Air pollution and incidence
of cardiac arrhythmia. Epidemiology 2000; 11(1): 11-7.
42)
Pekkanen J, Peters A, Hoek G, et al. Particulate air pollution
and risk of ST segment depression during submaximal exercise
tests among subjects with coronary heart disease: the Exposure
and Risk Assessment for Fine and Ultrafine Particles in Ambient
Air (ULTRA) study. Circulation 2002; 106: 933-38.
43)
Goldberg MS, Burnett RT, Bailar JC 3rd et al. Identification of
persons with cardiorespiratory conditions who are at risk of
dying from the acute effects of ambient air particles. Environ
Health Perspect 2001; 109 Supp 4: 487-94.
44)
Perera FP, Tang D, Tu YH et al. Biomarkers in maternal and
newborn blood indicate heightened fetal susceptibility to
procarcinogenic DNA damage. Environ Health Perspect 2004;
112(10): 1133-6.
45)
Jedrychowski W, Bendkowska I, Flak E et al. Estimated risk for
altered fetal growth resulting from exposure to fine particles
during pregnancy: an epidemiologic prospective cohort study in
Poland. Environ Health Perspect 2004; 112(14): 1398-1402.
46)
Perera FP, Rauh V, Whyatt RM et al. Molecular evidence of an
interaction between prenatal environmental exposures and birth
outcomes in a multiethnic population. Environ Health Perspect
2004; 112(5): 626-30.
47)
Somers CM, McCarry BE, Malek F et al. Reduction of particulate
air pollution lowers the risk of heritable mutations in mice.
Science 2004; 304(5673): 1008-10.
48)
Burden of disease attributable to selected environmental factors
and injury among children and adolescents in Europe (no authors
listed). Child Care Health Dev 2004; 30(6): 731-732.
49)
Morgan G, Corbett S, Wlodarczyk J. Air pollution and hospital
admissions in Sydney, Australia, 1990-1994. Am J Public Health
1998; 88(12): 1761-60.
50)
Vichit-Vadakan N, Ostro BD, Chestnut LG et al. Air pollution and
respiratory symptoms: result from three panel studies in
Bangkok, Thailand. Environ Health Perspect 2001; 109 Supp3:
381-7.
51)
Dockery DW, Speizer FE, Stram DO et al. Effects of inhalable
particles on respiratory health of children. Am Rev Respir Dis
1989; 139(3): 587-94.
52)
Brauer M, Hoek G Van Vliet P et al, Air pollution from traffic
and the development of respiratory infections and asthmatic and
allergic symptoms in children. Am J Respir Crit Care 2002;
166(8): 1092-8.
53)
Seaton A, MacNee W, Donaldson K et al. Particulate air pollution
and acute health effects. Lancet 1995; 345(8943): 176-8.
54)
Boezen HM, van der Zee SC, Postma DS et al. Effects of ambient
air pollution on upper and lower respiratory symptoms and peak
expiratory flow in children. Lancet 1999; 353 (9156): 874-8.
55)
Gilliland FD, Berhane K, Rappaport EB et al. The effects of
ambient air pollution on school absenteeism due to respiratory
illness. Epidemiology 2001: 12(1): 43-54.
56)
Peters A, Dockery DW, Heinrich J, Wichmann HE. Short term
effects of particulate air pollution on respiratory morbidity in
asthmatic children. Eur Respir J 1997; 10(4): 872-9.
57)
Gauderman WJ, McConnell R, Gilliland F et al. Association
between air pollution and lung function growth in Southern
Californian children. Am J Respir Crit Care Med 2000; 162 (4 Pt
1); 1383-90.
58)
Brunekreef B, Hoek G. The relationship between low-level air
pollution and short-term changes in lung function in Dutch
children. J Expo Anal Environ Epidemiol 1993; 3 Suppl 1: 117-28.
59)
Gauderman WJ, Gilliland GF, Vora H, et al. Association between
air pollution and lung function growth in Southern Californian
children: results from a second cohort. Am J Respir Crit Care
Med 2002; 166(1): 76-84.
60)
Samet JM, Dominici F, Curriero FC et al. Fine particulate air
pollution and mortality in 20 US cities 1987-1994. N Eng J Med
2000; 343(24): 1742-9.
61)
Schwartz J, Laden F, Zanobetti A. The concentration-response
relation between PM2.5 and daily deaths. Environ Health Perspect
2002; 110(10): 1025-9.
62)
Stolzel M, Breitner S Cyrys J et al. Daily mortality and
particulate matter in different size classes in Erfurt, Germany.
J Expo Sci Environ Epidemiol.Research, 2007; 17(5): 459-67
63)
Kettunen J, Lanki T, Tiittanen P et al. Associations of fine and
ultrafine particulate air pollution with stroke mortality in an
area of low pollution levels. Stroke, 2007; 38(3): 918-22
64) Li
N, Sioutas C, Cho A et al. Ultrafine particulate pollutants
induce oxidative stress and mitochondrial damage.Environ Health
Perspect 2003,111:455-460
65)
Oberdorster G, Sharp Z Atudorei V et al. Translocation of
inhaled ultrafine particles to the brain.Inhalation Toxicology,
2004, 16:437-445
66) Air
Quality Guidelines for Europe, Section 7.3 p19, Second Edition,
World Regional Publications, Regional European Series No 91,
World Health Organisation, Regional Office for Europe,
Copenhagen.
67)
Annesi-Maesano I, Forastiere F, Kunzli N et al. Partciculate
matter, Science and EU Policy. Eur Resp J 2007; 29: 428-431
3.2 Heavy Metals
68)
Proceedings of the Third Colloquium on Particulate Air Pollution
and Human Health 6-8 June 1999, Durham, North Carolina, Irvine,
CA: Air Pollution Effects Laboratory, University of
California,1999, 11/23.
69) Pope
CA 3rd. Respiratory disease associated with community air
pollution and a steel mill, Utah Valley. Am J Public Health,
1989, 79(5): 623-8.
70)
Costa DL, Dreher KL. Bioavailable transition metals in
particulate matter mediate cardiopulmonary injury in healthy and
compromised animal models. Environ Health Perspect 1997;105
(suppl 5): 1053-60
71) Dye
JA, Lehmann JR, McGee JK et al. Acute pulmonary toxicity of
particulate matter filter extracts in rats: Coherence with
epidemiologic studies in Utah Valley. Environ Health Perspect
2001; 109 Suppl 3: 395-403.
72)
Hutzinger O, Fielder H. Formation of Dioxins and Related
Compounds in Industrial Processes. Pilot Study of International
Information Exchange on Dioxins and Related Componds. No 173.
Brussels: NATO Committee on Challenges to Modern Science, 1998
73)
Rowat SC. Incinerator toxic emissions: a brief summary of human
health effects with a note on regulatory control. Med Hypotheses
1999; 52(5): 389-96.
74)
Casdorph R, Walker M. Toxic Metal Syndrome, New York: Avery
Publishing Group 1995.
75)
Ehmann WD, Markesbery WR, Alauddin M et al. Brain trace elements
in Alzheimer¡¯s disease. Neurotoxicology 1986; 7 (1): 195-206.
76)
Thompson CM, Markesbery WR, Ehmann WD et al. Regional
trace-element studies in Alzheimer¡¯s disease. Neurotoxicology
1988; 9(1): 1-7.
77)
Wenstrup D, Ehmann WD, Markesbery WR. Trace element imbalances
in isolated subcellular fractions of Alzheimer¡¯s disease brains.
Brain Res 1990; 533(1): 125-31.
78)
Schettler T. Toxic threats to neurological development of
children. Environ Health Perspect 2001; 109 (Suppl 6): 813-6.
79)
Grandjean P, Weihe P, White RF et al. Cognitive deficit in
7-year old children with prenatal exposure to methyl mercury.
Neurotoxicol Teratol 1997; 19(6): 417-28.
80)
Palmer RF, Blanchard S, Stein Z et al. Environmental mercury
release, special education rates, and autism disorder: an
ecological study of Texas. Health Place, 2006;12(2): 203-9
81)
Palmer RF, Blanchard S, Wood R. Proximity to point sources of
environmental mercury release as a predictor of autism
prevalence. Health Place, 2008;
doi:10.1016/j.healthplace.2008.02.001
82) Thun
MJ, Schnorr TM, Smith AB, et al. Mortality among a cohort of US
cadmium production workers ¨C an update. J Natl Cancer Inst 1985;
74(2): 325-33.
83) Blot
WJ, Fraumeni JF Jnr. Arsenical air pollution and lung cancer.
Lancet 1975; 2 (7926):142-4.
84)
Severs R, Whitehead L, Lane R. Air quality correlates of chronic
disease mortality: Harris County, Texas 1969-71. Tex Rep Biol
Med 1978; 36: 169-84.
85)
Wecker L, Miller SB, Cochran SR et al. Trace element
concentration in hair from Autistic Children. J Ment Defic Res
1985: 29 (pt 1): 15-22.
86)
Capel ID, Pinnock MH, Dorrell HM, et al. Comparison of
concentrations of some trace, bulk, and toxic metals in the hair
of normal and dyslexic children. Clinic Chem 1981: 27(6):
879-81.
87)
Brockel BJ, Cory-Slechta DA. Lead, attention, and impulsive
behaviour: changes in a fixed waiting-for-reward paradigm.
Pharmacol Biochem Behav 1998: 60(2): 545-52.
88)
David OJ, Hoffman SP, Sverd J, et al. Lead and hyperactivity:
Behavioural response to chelation. Am J Psych 1976; 133(10):
1155-8.
89)
Masters RD. Biology and politics: linking nature with nurture.
Ann Rev Polit Sci 2001; 4: 345-65.
90)
Leviton A, Bellinger D, Allred EN et al. Pre and postnatal
low-level lead exposure and children¡¯s dysfunction in school.
Environ Res 1993: 60(1): 30-43.
91)
Eppright TD, Sanfacon JA, Horwitz FA. Attention deficit
hyperactivity disorder, infantile autism and elevated blood
lead: a possible relationship. Mol Med 1996: 93(3): 136-8.
92)
Needleman HL, Gunnoe C, Leviton A et al. Deficits in psychologic
and classroom performance in children with elevated dentine lead
levels. N Eng J Med 1994; 331(13): 689-95.
93)
Bellinger D, Leviton A, Waternaux C, et al. Longitudinal
analyses of prenatal and postnatal lead exposure and early
cognitive development. N Eng J Med 1987; 316 (17): 1037-43.
94)
Needleman HL, Riess JA, Tobin MJ, et al. Bone lead levels and
delinquent behaviour. JAMA 1996; 275 (5); 363-9.
95)
Mispelstraat: Living under the smoke of a waste incinerator.
Report on the health impact of the MIWA waste incinerator in
Sint Niklaas, Belgium. www.milieugezondheid.
96)
Schauss AG. Comparative hair-mineral analysis results of 21
elements in a random selected behaviourally ¡°normal¡± 19-59 year
old population and violent adult criminal offenders. Int J
Biosoc Res 1981; 1: 21-41.
97)
Bowdler NC, Beasley DS, Fritze EC et al. Behavioural effects of
aluminium ingestion on animal and human subjects. Pharmacol
Biochem Behav 1979: 10(4): 502-12.
98)
Trapp GA, Miner GH, Zimmerman RL et al. Aluminium levels in the
brain in Alzheimer¡¯s disease. Biol Pyschiatry 1978; 13(6):
709-18.
99)
Multhaup G. Amyloid precursor protein, copper and Alzheimer¡¯s
disease. Biomed Pharmocother 1997: 51(3): 105-11.
100)
Zapatero MD, Garcia de Jalon A, Pascual F, et al. Serum
aluminium levels in Alzheimer¡¯s disease and other senile
dementias. Biol Trace Elem Res 1995; 47 (1-3): 235-40.
101)
Martyn CN, Barker DJ, Osmond C et al. Geographical relationship
between Alzheimer¡¯s disease and aluminium in drinking water.
Lancet 1989; 1(8763): 59-62.
102)
Crapper DR, Krishnan SS, Dalton AJ et al. Brain aluminium
distribution in Alzheimer¡¯s disease and experimental
neurofibrillary degeneration. Science 1973: 180(85): 511-3.
103)
Neri LC, Hewitt D. Alzheimer¡¯s disease and drinking water.
Lancet 1991; 338 (8763): 390.
104)
Zayed J, Ducic S, Campanella G, et al. Environmental factors in
the etiology of Parkinson¡¯s disease. Can J Neurol Sci 1990:
17(3): 286-91.
3.3 Nitrous Oxides
105)
Richters A, Richters V. A new relationship between air pollutant
inhalation and cancer. Arch Environ Health 1983; 38(2): 69-75.
106)
Ruaslahti E. How cancer spreads. Scientific American Sept 1996:
72-77.
107)
Andersen HR, Spix C, Medina S, et al. Air pollution and daily
admissions for chronic obstructive pulmonary disease in 6
European cities: results from the APHEA project. Eur Resp J
1997; 10(5): 1064-71.
108)
Sunyer J, Spix C, Quenel P, et al. Urban air pollution and
emergency admissions for asthma in four European cities: the
APHEA Project. Thorax 1997; 52(9): 760-5.
109)
Ostro BD, Broadwin R, Lipsett MJ. Coarse and fine particles and
daily mortality in the Coachella Valley, California: a follow-up
study. J Exp Anal Environ Epidemiol 2000; 10(5): 412-9.
110)
Breslin K. The impact of ozone. Env Health Perspectives 1995;
103(7-8): 660-4.
111)
Hoek G, Schwartz JD, Groot B, Eilers P. Effects of ambient
particulate matter and ozone on daily mortality in Rotterdam,
The Netherlands. Arch Environ Health 1997; 52(6): 455-63.
3.4 Organic Toxicants
112) Den
Hond E, Roels HA, Hoppenbrouwers K et al. Sexual maturation in
relationship to polychlorinated aromatic hydrocarbons: Shape and
Skakkebaek¡¯s hypothesis revisited. Environ Health Perspect 2002;
110(8): 771-6.
113)
Eskenazi B, Mocarelli P, Warner M et al. Serum dioxin
concentrations and endometriosis: a cohort study in Sevenso,
Italy. Environ Health Perspect 2002; 110(7): 629-34.
114)
Wolff MS, Weston A. Breast cancer risk and environmental
exposures. Environ Health Perspect 1997; 105(Suppl 4): 891-6.
115)
Hoyer AP, Granjean P, Jorgensen T et al. Organochlorine exposure
and the risk of breast cancer. Lancet 1998; 352 (9143): 1816-20.
116)
Oliva A, Spira A, Multigner L et al. Contribution of
environmental factors to the risk of male infertility. Hum
Reprod 2001; 16(8): 1768-76.
117)
Sultan C, Balaguer P, Terouanne B et al. Environmental
xenoestogens, antiandrogens and disorders of male sexual
differentiation. Mol Cell Endocrinol 2001; 178 (1-2): 99-105.
118)
Hardell L, van Bavel B, Lindstrom G et al. Increased
concentrations of polychlorinated biphenyls, hexachlorobenzene
and chlordanes in mothers of men with testicular cancer. Environ
Health Perspect 2003; 111 (7): 930-4.
a) Organochlorines
119) Jay
K, Stieglitz L. Identification and quantification of volatile
organic components in emissions of waste incineration plants.
Chemosphere 1995; 30: 1249-1260
120)
Ecocyle Commission of the Government of Sweden. PVC: A Plan to
Prevent Environmental Impact. Stockholm: Ecocycle Commission
1994
121)
American Public Health Association. Resolution 9304: Recognizing
and addressing the environmental and occupational health
problems posed by chlorinated organic chemicals. Am J Public
Health 1994; 84:514-5
122)
Thornton J, Pandora¡¯s Poison, 2000, MIT Press, Cambridge,
Massachusetts & London
123) US
Enironmental Protection Agency. Estimating exposure to 2,3,7,8
TCDD. Nal Review Draft. Washington DC: US EPA, Office of
Research and Development (EPA/600-6-99-007A), 1988
124)
Tatsukawa R, Tanabe S. Fate and bioaccumulation of persistent
organochlorine compounds in the marine environment. In:
Baumgartner DJ, Dudall IM, eds. Oceanic Processes in Marine
Pollution, Volume 6, Malabar FL: Kreiger, 1990:39-55
125)
Frank H, Norokorpi Y SchollH et al. Trichloroacetate levels in
the atmosphere and in conifer needles in Central and Northern
Europe. Organohalogen Compounds 1993,14:307-8
126)
Norstom R, Muir DCG. Chlorinated hydrocarbon contaminants in
arctic marine mammals. Science of the Total Environment, 1994;
154:107-128
127)
Arctic Monitoring and Assessment Programme. Arctic Pollution
Issues: A state of the Arctic Environment Report. Oslo:AMAP
Directorate, 1997
b) Dioxins
128)
BrzuzyLP, Hites RA. Global mass balance of polychlorinated
dibenzo-p-dioxins and dibenzofurans. Environmental Science and
Technology, 1996, 30:1797-1804
129) US
Environmental Protection Agency. The Inventory of sources of
dioxin in the United States (Review Draft). Washington DC: US
EPA Office of Research and Development (EPA/ 600/p-98-002a),
1998
130)
Thomas V, Shapiro C. An estimation of dioxin emissions in the
United States. Toxicology and Environmental Chemistrty, 1995;
50:1-37
131)
Davis DL, Dinse GE, Hoel DG. Decreasing cardiovascular disease
and increasing cancer among whites in the United States from
1973 through 1987. JAMA, 1994; 271:431-437
132)
Tritscher AM, Clark GS, Lucier GW. Dose-response effects of
dioxins:Species comparison and implications for risk assessment.
In: Schecter A, Dioxins and Health. New York:plenum,
1994:227-248130)
133)
Neubert R, Jacob-Muller U, Helge H et al. Polyhalogenated
dibenzo-p-dioxins and dibenzofurans and the immune system: In
vitro effects of 2,3,7,8 tetrachlorodibenzo-p-dioxin (TCDD) on
lymphocytes of venous blood from a man and a non-human primate.
Archives of Toxicology 1991;65:213-9
134) US
Environmental Protection Agency. Health Assessment Document for
2,3,7,8 ¨C tetrachlorodibenzo-p-dioxin and Related Compounds,
Volumes 1-3, Review Draft. Washington DC:US EPA Office of
Research and Development (EPA/600/BP-92-001),1994
135)
Becher H, Steindorf K, Flesch-Janys D. Quantitative cancer risk
assessment of dioxins using an occupational cohort. Env Health
Perspect 1998; 106(Suppl 2): 663-670
136)
Papke O. PCDD/F:Human background data from Germany, a 10 year
experience. Env Health Perspect, 1998; 106 (Suppl 2): 723-31
137)
Schecter A, Startin J, Wright C et al. Congener-specific levels
of dioxins and dibenzofurans in US food and estimated daily
dioxin toxic equivalent intake. Env Health Perspect 1994;
102: 962-966 138) Schecter A, Gasiewicz T. Health hazard
assessment of chlorinated dioxins and dibenzofurans contained in
human milk. Chemosphere 1987; 16:2147-54
139)
Gray LE, Ostby JS, Kelce WR. A dose-response analysis of the
reproductive effects of a single gestational dose of 2,3,7,8
tetrachlorodibenzo-p-dioxin in male Long Evens hooded rat
offspring. Toxicology and Applied pharmacology, 1997; 146: 11-20
140)
Theobald HM, Peterson RE. Developmental and reproductive
toxicity of dioxins and other Ah receptor agonists. In: Schecter
A, ed. Dioxins and Health. New York: Plenum. 1994:309-46
141)
Seegal RF, Schantz SL. Neurochemical and behavioural sequelae of
exposure to doxins and PCBs. In: Schecter A, ed. Dioxins and
Health. New York: Plenum. 1994:409-448
142)
Quass U, Fermann M, Broker G, European Dioxin Inventary Volume
3, Assessment of dioxin emissions until 2005,. Prepared by North
Rhine Westphaliam State Environmental Agency on behalf of the
European Commission, Directorate General for Environment (DG
ENV)
3.5 Effects on genetic Material
143) Tomatis L. Transplacental Carcinogenesis. Lyon,
International Agency for Research on Cancer, IARC Scientific
Publications No 4 pp100-111. 144) Tomatis L, Goodall CM. The
occurrence of tumours in F1, F2 and F3 descendants of pregnant
mice injected with 7,12 dimethylbenz(a)anthracene. Int J Cancer
1969; 4(2): 219-25.
3.6 Effects on Immune System
145)
Ross P, de Swart, Visser I, et al. Relative immunocompetence of
the newborn harbor seal, Phoca vitulina. Veterinary Immunology
and Immunopathology 1994; 42(3-4): 331-48.
146)
Ross P, de Swart R, Reijnders P, et al. Contaminant-related
suppression of delayed-type hypersensitivity and antibody
responses in harbor seals fed herring from the Baltic Sea. Env
Health Perspect 1995; 103 (2): 162-7.
147) De
Swart R. Impaired immunity in seals exposed to bioaccumulated
environmental contaminants, PhD Thesis, Erasmus University,
Rotterdam, Netherlands, 1995.
148)
Lahvis G, Wells RS, Kuehl DW et al. Decreased lymphocyte
response in free-ranging bottle-nosed dolphins (Tursiops
truncatus) are associated with increased concentration of PCBs
and DDT in peripheral blood. Env Health Perspect 1995; 103(4):
67-72.
149)
Cone JE,Harrison R, Reiter R. Patients with multiple chemical
sensitivities: clinical diagnostic subsets among an occupational
health clinic population. In Cullen M (ed) Workers with
Multiple Chemical Sensitivities, Occupational Medicine: State of
the Art Review 1987; 2(4):721-738 .
150)
Sharma R. Immunological Considerations in Toxicology, Vols 1 and
2 (1981), CRC Press, Boca Raton, FL.
151)
Ashford N, Miller C. Chemical Exposures: Low Levels and High
Stakes. John Wiley & Sons 1998.
152)
Massolo L, Muller A, Tueros M, et al. Assessment of mutagenicity
and toxicity of different-size fractions of air particles from
La Plata, Argentina, and Leipzig, Germany. Environ Toxicol 2002;
17(3): 219-31.
153)
Kerkvliet NI. Immunotoxicity of dioxins and related chemicals.
In: Schecter A, ed. Dioxins and Health. New York:
Plenum1994:199-217
154)
Tryphonas H. Immunotoxicity of PCBs (Aroclors) in relation to
Great Lakes. Environ Health Perspect, 1995; 103 (Suppl 9):35-46
155)
Hillam RP, Bice DE, Hahn FF, Scnizelein CT. Effects of acute
nitrogen dioxide exposure on cellular immunity after lung
immunization. Environ Res 1983; 31(1): 201-11.
3.7 Synergistic Effects
156)
Carroll Wilson. Man¡¯s Global Impact on the Environment: A Study
of Critical Environmental Problems, MIT Press, Cambridge, Mass
1971.
157)
Mokhiber R. The Ecologist 1998; 28(2): 57-8.
158)
Harrison PT, Heath JC. Apparent synergy in lung carcinogenesis:
interactions between N-nitrosheptamethyleneimine, particulate
cadmium and crocidolite asbestos fibres in rats. Carcinogenesis
1986; 7(11): 1903-8.
159)
Wade MG, Foster WG, Younglai EV, et al. Effects of subchronic
exposure to a complex mixture of persistent contaminants in male
rats: systemic, immune and reproductive effects. Toxicol Sci
2002; 67(1): 131-43.
160)
Soto AM, Chung KL, Sonnenschein C. The pesticides endosulphan,
toxaphene and dieldrin have estrogenic effects on human
estrogen-sensitive cells. Environ Health Perspect 1994; 102(4):
380-3.
161)
Abou-Donia MB, Wilmarth KR, Jensen KF et al. Neurotoxicity
resulting from co-exposure to pyridostigmine bromide, DEET and
permethrin: Implications of Gulf War chemical exposures. J
Toxicol Env Health 1996; 48(1): 35-56.
162)
Ershoff BH. Synergistic toxicity of food additives in rats fed a
diet low in dietary fibre. J Food Sci 1976; 41: 949-51.
163)
Wade MG, Parent S, Finnson KW, et al. Thyroid Toxicity due to a
subchronic exposure to a complex mixture of 16 organochlorines,
lead, and cadmium. Toxicol Sci 2002; 67(2): 207-18.
164)
Arnold SF, Klotz DM, Collins BM, et al. Synergistic activation
of estrogen receptors with combinations of environmental
chemicals. Science 1996; 272 (5267): 1489-92.
165)
Germolec DR, Yang RSH, Ackermann MP et al. Toxicology studies of
a chemical mixture of 25 groundwater contaminants:
Immunosuppression in B6C3F mice. Fundamental and Applied
Toxicology 1991;13: 377-387
166) Li
MH, Hansen LG. Enzyme induction and acute endocrine effects in
prepubertal female rats receiving environmental PCB/PCDF/PCDD
mixtures. Environ Health Perspect 1996; 104(7): 712-22.
Section 4. Increased
Morbidity and Mortality near Incinerators
4.1 Cancer
167)
Elliot P, Shaddick G, Kleinschmidt I etal, Cancer incidence near
municipal solid waste incinerators in Great Britain. Brit J
Cancer 1996; 73(5): 702-10.
168)
Elliot P, Eaton N, Shaddick G et al. Cancer incidence near
municipal waste incinerators in Great Britain. Part 2:
Histopathological and case note review of primary liver cancer
cases. British J Cancer 2000; 82(5): 1103-6.
169)
Knox EG, Gilman EA. Migration patterns of children with cancer
in Britain. J Epidemiology & Community Health 1998; 52(11):
716-26.
170)
Knox EG. Childhood cancers, birthplaces, incinerators and
landfill sites. Int J Epidemiology 2000; 29 (3): 391-7.
171):
Biggeri A, Barbone F, Lagazio C, et al. Air pollution and lung
cancer in Trieste, Italy: Spatial analysis of risk as a function
of distance from sources. Environ Health Perspect 1996; 104 (7):
750-4.
172)
Viel JF, Arveux P, Baverel J, et al. Soft tissue sarcoma and non
Hodgkin¡¯s lymphoma clusters around municipal solid waste
incinerators with high dioxin emission levels. Am J Epidemiology
2000; 152(1): 13-19.
173)
Ohta S, Kuriyama S, Nakao et al. Levels of PCDDs, PCDFs and
non-ortho coplanar PCBs in soil collected from high
cancer-causing area close to batch-type municipal solid waste
incinerator in Japan. Organohalogen Compounds 1997; 32: 155-60.
174)
Comba P, Ascoll V, Belli S et al Risk of soft tissue sarcomas
and residence in the neighbourhood of an incinerator of
industrial wastes. Occup Environ Med 2003; 60(9): 680-3
175)
Zambon P, Ricci P, Bovo E et al. Sarcoma risk and dioxin
emissions from incinerators and industrial plants: a
population-based case-control study (Italy). Environ Health
2007; 6:
176)
Gustavsson P. Mortality among workers at a municipal waste
incinerator. Am J Ind Med 1989; 15(3): 245-53.
177)
Gustavsson P, Evanoff B, Hogstedt C. Increased risk of
esophageal cancer among workers exposed to combustion products.
Archives Environ Med 1993; 48(4): 243-5.
4.2 Birth Defects
178) ten
Tusscher GW, Stam GA, Koppe JG. Open chemical combusting
resulting in a localised increased incidence of orofacial
clefts. Chemosphere 2000; 40(9-11): 1263-70.
179) Van
Lorebeke N. Health effects of a household waste incinerator near
Wilrijk, Belgium. In Health Impacts of Waste Management
Policies, Hippocrates Foundation, Kos, Greece, 2000.
180)
Cordier S, Chevrier C, Robert-Gnansia E et al. Risk of
congenital anomalies in the vicinity of municipal solid waste
incinerators. Occup Environ Med 2004: 61(1): 8-15.
181)
Dummer TJ, Dickinson HO, Parker L. Adverse pregnancy outcomes
around incinerators and crematoriums in Cumbria, North-west
England, 1956-93. J Epidemiol Community Health 2003: 57(6):
456-61.
182)
Dolk H, Vrijheld M, Armstrong B et al. Risk of congenital
anomalies near hazardous-waste landfill sites in Europe: the
EUROHAZCON study. Lancet, 1998; 352(9126): 423-7.
183)Elliot P, Briggs D, Morris S et al. Risk of adverse birth
outcomes in populations living near landfill sites. BMJ, 2001;
323(7309): 363-8.
184)
Croen LA, Shaw GM, Sanbonmatsu L et al. Maternal residential
proximity to hazardous waste sites and risk for selected
congenital malformations. Epidemiology 1997; 8(4): 347-54.
185) Orr
M, Bove F, Kaye W et al. Elevated birth defects in racial or
ethnic minority children of women living near hazardous waste
sites. Int J Hyg Environ Health, 2002; 205(1-2): 19-27.
186) Johnson BL. A review of the effects of the effects of
hazardous waste on reproductive health. Am J of Obstetrics and
Gynecology 1999; 181: S12-S16.
Section 5. Disease
Incidence and Pollution
5.1 Cancer
187)
NCI, 1991: ¡°Cancer Statistics Review 1973-88¡±, NIH Publications
No 91-2789.
188)
Tomatis L, Cancer, Causes, Occurrence and Control, IARC
Scientific publications 100, (Lyon, France, IARC 1996) 21.
189) Graphs of
chemical production: From International Trade Commission,
Washington DC.
190)
Davies DL, Hoel D, Foxj, Lopez A. International trends in cancer
mortality in France, West Germany, Italy, Japan, England and
Wales and the USA. Lancet 1990; 336 (8713): 474-81.
191)
Pickle LW, Mason TJ, Fraumeni JF Jr. The new United States
Cancer Atlas. Recent Results Cancer Res, 1989; 114: 196-207.
192)
Najem GR, Louria DB, Lavenhar MA et al. Clusters of cancer
mortality in New Jersey municipalities, with special reference
to chemical toxic waste disposal sites and per capita
income. Int J Epidemiol 1985; 14(4): 528-37.
193)
Najem GR, Greer W. Female reproductive organs and breast cancer
mortality in New Jersey Counties and the relationship with
certain environmental variables. Prev Med 1985: 14(5): 620-35.
194)
Hoover R, Fraumeni JF Jr. Cancer mortality in US counties with
chemical industries. Environ Res 1975; 9(2): 196-207.
195)
Goldman BA. The Truth About Where You Live: An Atlas for Action
on Toxins and Mortality. New York: Random House 1991.
196)
Zahm SH, Blair A. Cancer among migrant and seasonal farmers: an
epidemiologic review and research agenda. Am J of Ind Med 1993;
24(6): 753-66.
197)
Tornling G, Gustavsson P, Hogstedt C. Mortality and cancer
incidence among Stockholm fire fighters. Amer J Industrial Med
1994: 25(2): 219-28.
198)
Zahm SH, Weisenburger DD, Babbitt PA et al. A case control study
of non-Hodgkin¡¯s Lymphoma and the Herbicide 2,4
Dichlorophenoxyacetic acid (2,4-D) in Eastern Nebraska.
Epidemiology 1990; 1(5): 349-56.
199)
Hardell L, Eriksson M, Lenner P et al. Malignant lymphoma and
exposure to chemicals, especially organic solvents,
chlorophenols and phenoxy acids: a case control study. Brit J
Cancer 1981; 43(2): 169-76.
200)
Harshbarger JC and Clark JB. Epizootiology of neoplasms in bony
fish of North America. Sci Total Environ 1990; 94(1-2): 1-32.
201)
Hayes HM Jr, Hoover R, Tarone RE. Bladder cancer in pet dogs: a
sentinel for environmental cancer. Am J Epidemiol 1981; 114(2):
229-33.
202)
Baumann PC, HarshbargerJC. Decline in liver neoplasms in wild
brown bullhead catfish after coking plant closes and
environmental PAHs plummet. Environ health Perspect 1995;
103: 168-70. 203)
Perera F.P, Hemminki K, Gryzbowska E et al. Molecular and
Genetic Damage in Humans from Environmental Pollution in Poland.
Nature 1992; 360 (6401): 256-58.
204)
Perera FP, Mooney LA, Stamfer M et al. Associations between
carcinogen-DNA damage, glutathione S transferase genotypes, and
risk of lung cancer in the prospective Physician¡¯s Health Cohort
Study. Carcinogenesis 2002; 23(10): 1641-6.
205)
Lewis-Michl EL, Melius JM, Kallenbach LR et al. Breast cancer
risk and residence near industry or traffic in Nassau and
Suffolk Counties, Long Island, New York. Arch Environ Health
1996; 51(4): 255-65.
206) The
Long island Breast Cancer Study Reports 1-3 (1988-90), New York
State Department of Health, Department of Community and
Preventative Medicine, Nassau County Department of Health and
Suffolk County Department of Health Services.
207)
Aschengrou A, Ozonoff DM. Upper Cape Cancer Incidence Study:
Final Report. Boston: Mass. Depts of Public Health and
Environment Protection 1991.
208)
Aschengrau A, Ozonoff D, Paulu C et al. Cancer risk and
tetrachloroethylene-containing drinking water in Massachusetts.
Arch Environ Health 1995; 48(5): 284-92.
209)
McKelvey W, Brody JG, Aschengrau A et al. Association between
residence on Cape Cod, Massachusetts, and breast cancer. Ann
Epidemiol 2004; 14(2): 89-94.
210)
Fagliano J, Berry M, Boye F et al. Drinking water contamination
and the incidence of leukaemia:an ecologic study. Am J Public
Health 1990; 80 (10): 1209-12.
211)
Cantor KP et al., Water Pollution In Schottenfeld D and
Fraumeni JF Jr (eds.), Cancer Epidemiology and Prevention, 2nd
ed.
Oxford: Oxford Univ Press 1996.
212)
Lagakos S.W et al. An analysis of contaminated well water and
health effects in Woburn, Massachusetts. J Amer Stat Assoc 1986:
395: 583-96.
213)
Osborne J.S, Shy CM, Kaplan BH. Epidemiologic analysis of a
reported cancer case cluster in a small rural population. Am J
Epidemiol 1990; 132 (Supp 1): S87-95.
214)
Lampi P, Hakulinen T, Luostarinen et al. Cancer incidence
following chlorophenol exposure in a community in Southern
Finland. Arch Environ Health 1992; 47(3): 167-75.
215)
IARC Monographs on Evaluation of Carcinogenic Risks to Humans
Suppl 7 (Lyon, France: IARC 1987).
216)
US.DHHS Seventh Annual Report on Carcinogens, Research Triangle
Park, NC:us. Department of Health and Human Services, 1990.
217)
Holzman D. Banking on tissues. Environ Health Perspect 1996;
104(6): 606-10.
218) Moses M, Johnson ES, Anger WK et al. Environmental
equity and pesticide exposure.
Toxicol Ind Health
1993; 9(5): 913-59.
219)
Onstot J, Ayling R, Stanley J. Characterization of HRGC/MS
Unidentified Peaks from the Analysis of Human Adipose tissue.
Volume 1: Technical approach. Washington DC: US Environmental
Protection Agency Office of Toxic Substances (560/6-87-002a),
1987
220)
Body Burden: Executive Summary, 2003, Environmental Working
Group, Mount Sinai
School of
Medicine and Commonweal. www.ewg.org/reports/bodyburden/
221)
Foster W, Chan S, Platt L, Hughes C. Detection of endocrine
disrupting chemicals in samples of second trimester human
amniotic fluid. J Clinic Endocrinol Metabol 2000; 85(8): 2954-7.
222)
Zieger M. Biomarkers: The clues to genetic susceptibility.
Environ Health Perspectives 1994; 102(1): 50-7.
5.2 Neurological Disease
223)
Rodier PM. Developing brain as a target of toxicity. Environ
Health Perspect 1995: 103 Suppl 6: 73-6.
224) Hattis D, Glowa J Tilson H et al. Risk assessment for
neurobehavioural toxicity: SGOMSEC joint report. Env Health
Perspect 1996;104 (Suppl 2): 249-71
225)
Landrign PJ, Graham DG, Anger WK et al. Environmental
toxicology. Washington DC: National Academy Press,1992.
226) WeissB.Risk assessment: The insidious nature of neurotoxicity and
the aging brain. Neurotoxicology 1990;11:305-14
227)
Knapp et al. Dementia UK: Report to the Alzheimer¡¯s Society,
King¡¯s College, London and London School of Economics and
Political Science, 2007
228)
Pritchard C, Baldwin D, Mayers A. Changing patterns of adult
neurological deaths (45-74 years) in the major western world
countries (1979-1997). Public Health 2004; 118(4): 268-83.
229)
Taylor B, Miller E, Farrington CP et al. Autism and measles,
mumps and rubella vaccine: no epidemiological evidence for a
causal association. Lancet 1999; 353(9169): 2026-9.
230)
Rybicki RA, Johnson CC, Uman J, Gorrell JM. Parkinson¡¯s disease
mortality and the industrial use of heavy metals in Michigan.
Mov Disord 1993; 8(1): 87-92.
5.3 Mental Disease
231)
Strahilevitz M, Strahilevitz A, Miller JE. Air pollutants and
the admission rate of psychiatric patients. Am J Psychiatry
1979; 136(2): 205-7.
232) Briere J, Downes A, Spensley J. A. summer in the city: urban
weather conditions and psychiatric emergency room visits. J
Abnorm Pyschol 1983; 92(1): 77-80.
233)
Morrow LA, Kamis H, Hodgson MJ. Psychiatric symptomatology in
persons with organic solvent exposure. J Consult Clinic Pyschol
1993; 61(1): 171-4.
234)
Morrow LA, Stein L, Scott A et al. Neuropsychological
assessment, depression and past exposure to organic solvents.
Applied Neuropyschol 2001; 8(2): 65-73.
5.4 Violence and Crime
235)
Hall RW. A study of mass murder: evidence of underlying cadmium
and lead poisoning and brain-involved immunoreactivity. Int J
Bioscoc Med Res 1989; 11: 144-52.
236)
Marlowe M, Schneider HG, Bliss LB. Hair mineral analysis in
emotionally disturbed and violence prone children. Int J Biosoc
Med Res 1991; 13: 169-79.
237)
Pihl RO, Ervin F. Lead and cadmium levels in violent criminals.
Pyschol Rep 1990; 66(3Pt 1): 839-44.
238)
Denno DW. Gender, crime and the criminal law defences. J Crim
Law Criminol 1994; 85: 80-180.
239)
Deborah Denno. Biology and Violence: From Birth to Adulthood.
Cambridge University Press, 1990.
240)
Stretesky PB, Lynch MJ. The relationship between lead exposure
and homicide. Arch Ped Adolesc Med 2001; 155(5): 579-82.
241) Stretesky PB, Lynch MJ. The relationship between lead and
crime. J Health & Soc Behav 2004; 45(2): 214-29.
6. High Risk Groups 6.1 The Foetus
242)
Centers for Disease Control. Blood and hair mercury levels in
young children and women of childbearing age. United States 1999
Morbidity and Mortality Report, 2001; 50: 140-43.
243)
Anderson LM, Diwan BA, Fear NT, Roman E. Critical windows of
exposure for children¡¯s health: cancer in human epidemiological
studies and neoplasms in experimental animal models. Environ
Health Perspect 2000; 108 suppl 3: 573-94.
244) US
Environmental Protection Agency, Office of Pollution Protection
and Toxic Substances, Chemical Hazard Data Availability Study:
What do we really know about high production volume chemicals?
USEPA: Washington DC,1998.
245)
Sonnenschein C, Soto AM. An Updated review of environmental
estrogen and androgen mimics and antagonists. J Steroid Biochem
Mol Biol 1998; 65 (1-6): 143-50.
246)
Markey CM, Coombs MA, Sonnenschein C, Soto AM. Mammalian
development in a changing environment: exposure to endocrine
disruptors reveals the developmental plasticity of
steroid-hormone target organs. Evol Dev 2003; 5(1): 67-75.
247)
Tilson HA, Jacobson JL, Rogan WJ. Polychlorinated biphenyls and
the developing nervous system: cross species comparisons.
Neurotoxicol Teratol 1990; 12 (3): 239-48.
248)
Weisgals-Kuperas N, Patandin S, Berbers GA, et al. Immunological
effects of background exposure to polychlorinated biphenyls and
dioxins in Dutch preschool children. Environ Health Perspect
2000; 108(12): 1203-7.
249)
Rogan WJ, Gladen BC, McKinney JD, et al. Polychlorinated
biphenyls (PCBs) and dichlorodiphenyldichloroethene (DDE) in
human milk: effects of maternal factor and previous lactation.
Am J Public Health 1986; 76(2): 172-7.
250)
Body Burden: The Pollution in Newborns: Executive Summary, July
2005, Environmental Working Group, Mount Sinai School of
Medicine and
Commonweal.www.ewg.org/reports/bodyburden2/execsumm.php
251) A
Present for Life: Hazardous chemicals in umbilical cord blood.
WWF/Greenpeace, September 2005.
www.greenpeace.org/raw/content/international/press/reports/umbilicalcordreport.pdf
6.2 The Breast-fed Infant
252)
Jensen AA, Slorach SA. Assessment of infant intake of chemicals
via breast milk in Chemical Contaminants in Human Milk.
Boca Raton: CRC Press 1991. pp215-22.
253)
Koopman-Esseboom C, Huisman M, Weisglas-Kuperus N, et al. Dioxin
and PCB levels in blood and human milk in relation to living in
the Netherlands. Chemosphere 1994; 29 (9-11): 2327-38.
254)
Patandin S, Dagnelie PC, Mulder PG, et al. Dietary exposure to
polychlorinated biphenyls and dioxins from infancy until
adulthood: a comparison between breast-feeding, toddler and
long-term exposure. Environ Health Perspect 1999; 107(1): 45-51.
255)
Rogan WJ, Bagniewska A, Damstra T. Pollutants in breast milk. N
Engl J Med 1980; 302(26): 1450-3.
256)
Jacobson JL, Jacobson SW. Prenatal exposure to polychlorinated
biphenyls and attention at school age. J Paediatr 2003; 143(6):
780-8.
257)
Jacobson JL, Jacobson SW. Association of prenatal exposure to an
environmental contaminant with intellectual function in
childhood. J Toxicol Clin Toxicol 2002; 40(4): 467-75.
258)
Jacobson JL, Jacobson SW. Intellectual impairment in children
exposed to polychlorinated biphenyls in utero. N Eng J Med 1996;
335(11): 783-9.
259)
Kinbrough RD. Toxicological implications of human milk residues
as indicated by toxicological and epidemiological studies in
Jensen AA & Slorach SA: Chemical Contaminants in Human Milk,
1990 pp271-83.
260)
Rice DC. Behavioural impairment produced by low-level postnatal
PCB exposure in monkeys. Env Res 1999; 80(2 Pt 2): S113-S121.
261)
Rice DC. Effects of postnatal exposure of monkeys to a PCB
mixture on spatial discrimination reversal and DRL performance.
Neurotoxicol Teratol 1998; 20(4): 391-400.
262)
Rice DC, Hayward S. Effects of postnatal exposure to a PCB
mixture in monkeys on non-spatial discrimination reversal and
delayed alternation performance. Neurotoxicology 1997; 18(2):
479-94.
263)
Hallgren S, Sinjari T, Hakansson H, Darnerud PO. Effects of
polybrominated diphenyl ethers (PBDEs) and polychlorinated
biphenyls (PCBs) on thyroid hormone and vitamin A levels in rats
and mice. Arch Toxicol 2001; 75(4): 200-8.
264)
Hooper K, McDonald TA. The PBDEs: an emerging environmental
challenge and another reason for breast milk monitoring
programs. Env Health Perspect 2000; 108(5): 387-92.
6.3 Children
265)
Moolgavkar SH, Venzon DJ. Two-event model for carcinogenesis:
incidence of curves for childhood and adult tumours. Maths
Biosci 1979; 47: 55-77.
266)
Rodier PM. Chronology of neuron development: animal studies and
their clinical implications. Dev Med Child Neurol 1980; 22(4):
525-45.
267)
Ekbom A, Hsieh CC, Lipworth L, et al. Intrauterine environment
and breast cancer risk in women: a population-based study. J
Natl Cancer Inst 1997; 89(1): 71-6.
268)
Knox EG. Childhood cancers and atmospheric carcinogens. J
Epidemiol Community Health 2005; 59(2): 101-5.
269)
Tomatis L, Overview of perinatal and multigeneration
carcinogenesis. ARC Sci Publ 1989;
96: 1-15.
270)
Anderson LM, Donovan PJ, Rice JM, Risk assessment for
transplacental carcinogenesis. In New Approaches in
Toxicity Testing and their Application in Human Risk Assessment
(ed Li AP). 1985 pp179-202.
271)
Landrigan PJ, Garg A. Chronic effects of toxic environmental
exposures in children¡¯s health. J Toxicol Clinical Toxicol 2002;
40(4): 449-56.
272)
Calabrese E.J. Age and Susceptibility to Toxic Substances. New
York, John Wiley & Sons 1986.
273)
National Academy of Sciences. Scientific Frontiers in
Developmental Toxicology and Risk Assessment. National Academy
Press, Washington DC 2000.
274)
Windham GC, Zhang L, Gunier R et al. Autism spectrum disorders
in relation to distribution of hazardous air pollutants in the
San Francisco bay area. Environ Health Perspect 2006;114(9):
1438-44
275)
Kenet T et al. Perinatal exposure to a noncoplanar
polychlorinated biphenyl alters tonotopy, receptive fields and
plasticity in rat primary auditory cortex. Proc Natl Acad Sci
USA 2007; 104 (18):7646-51
276)
Jacobson JL, Jacobson SW, Humphrey HE. Effects of in utero
exposure to polychlorinated biphenyls and related
contaminants on cognitive functioning in young children. J
Paediatr 1990; 116(1): 38-45.
277)
Needleman HL, Leviton A, Bellinger D.Lead-associated
intellectual deficit. N Eng J Med 1982; 306(6): 367.
6.4 The Chemically Sensitive
278)
Rinsky RA et al. Benzene and leukemia: an epidemiologic risk
assessment. N Eng J Med 1987; 316(17): 1044-50.
279)
Pelkonenn O. Comparison of activities of drug-metabolizing
enzymes in human fetal and adult livers. Clinic Pharmacol Ther
1973; 14(5): 840-6.
280)
Hattis D, Russ A, Goble R, et al. Human interindividual
variability in susceptibility to airborne particles. Risk Anal
2001; 21(4): 585-99.
281)
Friedman R. Sensitive Populations and Environmental Standards.
The Conservative Foundation, Washington DC (1981).
Section 7. Past Mistakes
and the Precautionary Principle
7.1 The Precautionary Principle
282)
European Commission 2000. Communications from the Commission on
the Precautionary Principle (COM (2000) 1) Brussels. URL:
http://europa.eu.int/comm./dgs/health_consumer/library/pub/pub07_en.pdf
(accessed 30 November 2003).
283)
Grandjean P, Bailar JC, Gee D, et al. Implications of the
precautionary principle in research and policy-making. Am J Ind
Med 2004; 45(4): 382-5.
284)
Franchini M, Rial M, Buiatti E, Bianchi F. Health effects of
exposure to waste incinerator emissions: a review of the
epidemiological studies. Ann Ist Super Sanita, 2004; 40(1):
101-15.
7.2 Learning from Past Mistakes
285)
Rice DC, Evangelista de Duffard AM, Duffard R et al. Lessons for
neurotoxicology from selected model compounds SGOMSEC joint
report. Env Health Perspect 1996; 104 (Supp 2): 205-15.
Section 8. Alternative
Waste Technologies
8.2 Producing Less Waste
286)
Department of Food, Environment and Rural Affairs (2006); Review
of England¡¯s Waste Strategy: A Consultation Document, London,
Defra.
287)
Energy Green Paper, Towards a European Strategy for the Security
of Energy, European Commission,2001.
http://europa.eu.int/comm/energy_transport/doc-principal/pubfinal_en.pdf
288)
World Energy Outlook 2001, 2001 Insights, International Energy
Agency(IEA) and the Organisation for Economic Co-operation and
Development ()ECD), 2001.
http://library.iea.org/dbtw-wpd/Textbase/npold/npold_pdf/weo2001.pdf
289)
Mobbs P, Energy beyond Oil, Cronwell Press Ltd, 2005,Trowbridge,
UK
290)
Cambridge Econometrics, UK Energy and the Environment. March
2008
8.7
Adavanced Thermal Technologies (ATT) and Plasma Gasification
291)
Gomez E, Amutha Rani D, Cheesman CR et al. Theral plasma
technology for the treatment of wastes: A critical review, 2008,
Journal of hazardous Materials,
doi:10.1016/j.hazmat.2008.4.017:1-13
8.8 Greenhouse Gases
292)
White P, Franke M, Hindle P. Integrated Solid Waste Management:
A Lifestyle Inventory, 1994, Blackie Academic And Professional
Section 9. Costs of
Incineration
9.1
Direct and Indirect Costs
293)
Public Consultation on Waste management Options, Scottish
Environmental Protection Agency, Western Isles Strategy Area,
Nov 2001
294)
Russell M, Colglazier W, Tonn BE. The US hazardous waste legacy.
Environment, 1992; 34(6): 13-39
9.2
Health costs of Incineration
295)
Energy Technology Support Unit (ETSU), 1996, Economic Evaluation
of the draft incinerator Directive, European Commission
296)
Final report for DEFRA by Enviros Consulting Ltd in association
with ENTEC: Valuation of the External Costs and Benefits to
Health and Environment of Waste Management Options. Dec 2004
297)
Eshet T, Ayalon O, Schecter M. A Critical Review of Economic
Evaluation Studies of Externalities from Incineration and
landfilling. Waste management Res, 2005; 23:487-504
298)
Miranda ML, Hale B. Waste not, want not, the private and social
cost of energy production. Energy Policy, 1997; 25:587-600
9.3
Financial Gains from reducing Pollution
299)
Wulf-Schnabel J, Lohse J. Economic evaluation of dust abatement
techniques in the European Cement Industry. A report produced
for the European Commission, May 1999.
300) Pianin E. Study
finds Net Gain from Pollution rules. Washington Post, Sept 27th,
2003.
9.4
Other Studies of the Health Costs of Pollution
301)
Muir T, Zegarac M. Societal Costs of Exposure to Toxic
Substances: Economic and health Costs of Four Case studies that
are Candinates for Environmental Causation. Env Health Perspect
2001; 109 (Suppl 6): 885903
302)
World Wildlife Fund Report: Compromising Our Children: Chemical
Impacts on Children¡¯s intelligence and Behaviour, June 2004.
www.wwf.org.uk/chemicals
Section 10. Other
Considerations of Importance
10.1 The Problem of Ash
303)
Markus T, Behnisch P, Hagenmaier H et al. Dioxinlike components
in incinerator fly ash: A comparison between chemical analysis
data and results from a cell culture bioassay. Environ Health
Perspect 1997; 105(12): 475-81
10.2 Radioactivity
304)
Beral V, Rooney C,Maconochie N et al. Case control study of
prostatic cancer in Employees of the United Kingdom Atomic
EnergyAuthority. BMJ,1993; 307: 1391-7
305)
Stokke T, Oftedal P, Pappas A. Effects of a small doses of
radioactive strontium on the rat bone marrow. Acta Radiologica
1968: 7:321-9
306)
Luning KG, Frolen H, Nelson A. Genetic effects of Strontium 90
injected into male mice. Nature 1963; 197:304-5
307)
Busby C, Wings of Death: Nuclear Pollution and Human Health,
1995, Green Audit (Wales) Ltd, Aberystwyth
308)
Berd V et al (eds.), Childhood Cancer and Nuclear Installations
(London, BMJ Publishing Group 1993).
309)
Gardner MJ. Childhood leukaemia around the Sellafield nuclear
plant. In P Elliot et al (eds.) Geographical and
Environmental Epidemiology: Methods for Small Area Studies.
Oxford, Oxford University Press 1992, pp291-309.
310)
Heasman MA, Kemp IW, Urquart JD, Black R. Childhood cancer in
Northern Scotland. Lancet 1986; 1 (8475): 266.
311)
Roman E, Watson A, Beral V, et al. Case control study of
leukemia and Non-Hodgkin lymphoma among children aged 0-4 Years
living in West Berkshire and North Hampshire health districts.
BMJ 1993; 306(6878): 615-21.
312)
Morris MS, Knorr RS. Adult leukemia and proximity-based
surrogates for exposure to Pilgrim plant¡¯s nuclear emissions.
Arch Environ Health 1996; 51(4): 266-74.
313)
Clapp RW et al. Leukaemia near Massachusetts nuclear power
plant. Lancet 1987; 2(8571): 1324-5.
314)
Baker PJ, Hoel DG. Meta-analysis of standardized incidence and
mortality rates of childhood leukaemia in proximity to nuclear
facilities. Eur J Cancer Care, 2007;16: 355-63
10.3 The Spread of Pollutants
315) National Research Council (2000): Waste Incineration and
Public Health ISBN: 0-309-06371-X,Washington DC, National
Academy Press.
316)
Mittal AK, Van Grieken R, Ravindra.. Health risk assessment of
urban suspended particulate matter with special reference to
polycyclic aromatic hydrocarbons: a review. Rev Environ Health
2001; 16 (Pt 3): 169-89.
317)
Final report to the North American Commission for Environmental
Cooperation (Flushing, N.Y.: Centre for the Biology of Natural
systems, Queens College, CUNY, 2000).
319)
Raloff FJ. Even Nunavut gets plenty of dioxin. Science News
2000; 158 : 230.
10.4 Cement Kilns
319) Personal
Communication, Christine Hall, Emission-Watch, Chester
www.emission-watch.com
Section 11. Monitoring
320)
Wang L, His H Chang J et al. Influence of start-up on PCDD/F
emission of incinerators.
Chemosphere, 2007; 67: 1346-53
321) De
Fre and Wevers. Underestimation of Dioxin emission
inventories.1998: Organohalogen Compounds 36:17-20
322)
Farland W, Lorber M, Clevely D. WTI Screening level analysis.
Washington DC: US Environmental Protection Agency Office of
Research and Development, February 9, 1993.
323) Wates J. The Non-Governmental Organization and Management of
Hazardous Waste in Ireland, 1994, Earthwatch, European
Environmental Bureau
Section 12. Risk
Assessment
324)
Alleva E, Brock J, Brouwer A et al. Statement from the work
session on environmental endocrine-disrupting chemicals: Neural,
endocrine and behavioural effects. Erice, Italy: Ettore Majorana
Centre for Scientific Culture, 1995.
325)
National Research Council (NRC). Toxicity Testing: Strategies to
Determine Needs and Priorities (1984), National Academy Press,
Washington, D.C.
326)
Moore CF. Silent Scourge: Children, Pollution and Why Scientists
Disagree. Oxford University Press, 2003, Oxford
327) Bostock A. Waste Incineration and its Impact upon Health, the
Environment and Sustainability, 2005, Acro Logic
328) Schettler T, Solomon G, Valenti M and Huddle A.
Generations at Risk: Reproductive Health and the Environment,
1999, MIT Press, Cambridge, Massachusetts, & London.
Section 15.
Recommendations
329)
Friends of the Earth Briefing. Incinerators and Deprivation, Jan
2004.
(This
article is also available as a booklet. For a copy please
contact BSEM)
|